Home / Publications / Новая стратегия конструирования макроциклов, содержащих тетрагидрофурановые фармакофоры с противоопухолевой активностью

Новая стратегия конструирования макроциклов, содержащих тетрагидрофурановые фармакофоры с противоопухолевой активностью

В. А. Дьяконов 1 *
В. А. Дьяконов
Л. У. Джемилева 1 *
Л. У. Джемилева
И. И. Исламов 2
И. И. Исламов
Э. Х. Макарова 2
Э. Х. Макарова
И. В. Гайсин 2
И. В. Гайсин
А. А. Макаров 2
А. А. Макаров
У. М. Джемилев 1
У. М. Джемилев
2 Уфимский федеральный исследовательский центр Российской академии наук
Published 2025-12-10
Share
Cite this
GOST
 | 
Cite this
GOST Copy
Дьяконов В. А. et al. Новая стратегия конструирования макроциклов, содержащих тетрагидрофурановые фармакофоры с противоопухолевой активностью // Russian Chemical Bulletin. 2025. Vol. 75. No. 2. pp. 533-540.
GOST all authors (up to 50) Copy
Дьяконов В. А., Джемилева Л. У., Исламов И. И., Макарова Э. Х., Гайсин И. В., Макаров А. А., Джемилев У. М. Новая стратегия конструирования макроциклов, содержащих тетрагидрофурановые фармакофоры с противоопухолевой активностью // Russian Chemical Bulletin. 2025. Vol. 75. No. 2. pp. 533-540.
RIS
 | 
Cite this
RIS Copy
TY - JOUR
UR - https://russchembull.colab.ws/publications/74
TI - Новая стратегия конструирования макроциклов, содержащих тетрагидрофурановые фармакофоры с противоопухолевой активностью
T2 - Russian Chemical Bulletin
AU - Дьяконов, В. А.
AU - Джемилева, Л. У.
AU - Исламов, И. И.
AU - Макарова, Э. Х.
AU - Гайсин, И. В.
AU - Макаров, А. А.
AU - Джемилев, У. М.
PY - 2025
DA - 2025/12/10
PB - Известия Академии наук. Серия химическая
SP - 533-540
IS - 2
VL - 75
ER -
BibTex
 | 
Cite this
BibTex (up to 50 authors) Copy
@article{2025_Дьяконов,
author = {В. А. Дьяконов and Л. У. Джемилева and И. И. Исламов and Э. Х. Макарова and И. В. Гайсин and А. А. Макаров and У. М. Джемилев},
title = {Новая стратегия конструирования макроциклов, содержащих тетрагидрофурановые фармакофоры с противоопухолевой активностью},
journal = {Russian Chemical Bulletin},
year = {2025},
volume = {75},
publisher = {Известия Академии наук. Серия химическая},
month = {Dec},
url = {https://russchembull.colab.ws/publications/74},
number = {2},
pages = {533--540}
}
MLA
Cite this
MLA Copy
Дьяконов, В. А., et al. “Новая стратегия конструирования макроциклов, содержащих тетрагидрофурановые фармакофоры с противоопухолевой активностью.” Russian Chemical Bulletin, vol. 75, no. 2, Dec. 2025, pp. 533-540. https://russchembull.colab.ws/publications/74.

Keywords

1,2-диены
1Z,5Z-1,5-диены
гомоцикломагнирование
замещенные тетрагидрофураны
макродиолиды
цитотоксичность

Abstract

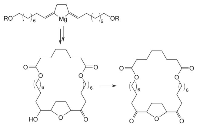
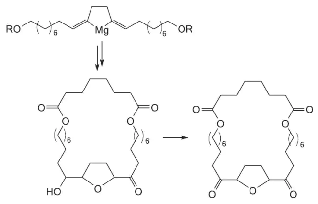
Осуществлен стереоселективный синтез ранее неописанного макродиолида с (Z,Z)-1,5-диеновым фрагментом в структуре, который основан на применении Cp2TiCl2-катализируемого гомоцикломагнирования функциональнозамещенных 1,2-диенов. Последующей Ru-катализируемой окислительной циклизацией 1,5-диеновых связей в макроцикле впервые синтезированы макроциклические лактоны, содержащие фармакофорные 2,5-дизамещенные тетрагидрофурановые фрагменты. Исследована противоопухолевая активность полученных макроциклических соединений в отношении трех клеточных линий – Jurkat, A549 и HEK293. Предположительным механизмом действия является ионофорный эффект соединений.

References

1.
Heterocyclic Anticancer Compounds: Recent Advances and the Paradigm Shift towards the Use of Nanomedicine’s Tool Box
Martins P., Jesus J., Santos S., Raposo L., Roma-Rodrigues C., Baptista P., Fernandes A.
Molecules, 2015
2.
Heterocyclic Scaffolds: Centrality in Anticancer Drug Development
Ali I., Lone M., Al-Othman Z., Al-Warthan A., Sanagi M.
Current Drug Targets, 2015
6.
Recent advances in the synthesis of tetrahydrofurans and applications in total synthesis
de la Torre A., Cuyamendous C., Bultel-Poncé V., Durand T., Galano J., Oger C.
Tetrahedron, 2016
7.
Selective Acetogenins and Their Potential as Anticancer Agents
Jacobo-Herrera N., Pérez-Plasencia C., Castro-Torres V.A., Martínez-Vázquez M., González-Esquinca A.R., Zentella-Dehesa A.
Frontiers in Pharmacology, 2019
8.
Acetogenins from Annonaceae: recent progress in isolation, synthesis and mechanisms of action
Bermejo A., Figadère B., Zafra-Polo M., Barrachina I., Estornell E., Cortes D.
Natural Product Reports, 2005
9.
Bioactive Terpenes from Marine Sponges and Their Associated Organisms
Yuan Y., Lei Y., Xu M., Zhao B., Xu S.
Marine Drugs, 2025
10.
The Tetrahydrofuran Motif in Marine Lipids and Terpenes
González-Andrés P., Fernández-Peña L., Díez-Poza C., Barbero A.
Marine Drugs, 2022
11.
Synthesis and 2D-QSAR studies of neolignan-based diaryl-tetrahydrofuran and -furan analogues with remarkable activity against Trypanosoma cruzi and assessment of the trypanothione reductase activity
Hartmann A.P., de Carvalho M.R., Bernardes L.S., Moraes M.H., de Melo E.B., Lopes C.D., Steindel M., da Silva J.S., Carvalho I.
European Journal of Medicinal Chemistry, 2017
12.
Antifungal Activity of Tetra-Substituted Tetrahydrofuran Lignan, (−)-Virgatusin, and Its Structure-Activity Relationship
AKIYAMA K., YAMAUCHI S., NAKATO T., MARUYAMA M., SUGAHARA T., KISHIDA T.
Bioscience, Biotechnology and Biochemistry, 2007
13.
Tetrahydrofuran-Containing Macrolides: A Fascinating Gift from the Deep Sea
Lorente A., Lamariano-Merketegi J., Albericio F., Álvarez M.
Chemical Reviews, 2013
14.
The Tetrahydrofuran Motif in Polyketide Marine Drugs
Fernández-Peña L., Díez-Poza C., González-Andrés P., Barbero A.
Marine Drugs, 2022
15.
Marine natural products
Carroll A.R., Copp B.R., Davis R.A., Keyzers R.A., Prinsep M.R.
Natural Product Reports, 2023
16.
Structure and Stereochemistry of Amphidinolide N Congeners from Marine Dinoflagellate Amphidinium Species
Tsuda M., Akakabe M., Minamida M., Kumagai K., Tsuda M., Konishi Y., Tominaga A., Fukushi E., Kawabata J.
Chemical and Pharmaceutical Bulletin, 2020
18.
Amphidinolide X, a Novel 16-Membered Macrodiolide from Dinoflagellate Amphidinium sp.
Tsuda M., Izui N., Shimbo K., Sato M., Fukushi E., Kawabata J., Katsumata K., Horiguchi T., Kobayashi J.
Journal of Organic Chemistry, 2003
19.
Total Syntheses of Amphidinolide X and Y
Fürstner A., Kattnig E., Lepage O.
Journal of the American Chemical Society, 2006
20.
Expedient Synthesis of (−)-Amphidinolide X
Jung J., Lee E.
Angewandte Chemie - International Edition, 2009
21.
Eribulin mesylate for the treatment of breast cancer
Cigler T., Vahdat L.T.
Expert Opinion on Pharmacotherapy, 2010
22.
Eribulin Mesylate: Mechanism of Action of a Unique Microtubule-Targeting Agent
Dybdal-Hargreaves N.F., Risinger A.L., Mooberry S.L.
Clinical Cancer Research, 2015
24.
A Convergent Strategy for the Pamamycin Macrodiolides: Total Synthesis of Pamamycin-607, Pamamycin-593, and Pamamycin-621D Precursors
Lanners S., Norouzi-Arasi H., Salom-Roig X., Hanquet G.
Angewandte Chemie - International Edition, 2007
26.
Targeted synthesis of macrodiolides containing bis-methylene-separated Z-double bonds and their antitumor activity in vitro
D'yakonov V.A., Islamov I.I., Dzhemileva L.U., Khusainova E.M., Yunusbaeva M.M., Dzhemilev U.M.
Tetrahedron, 2018
27.
D’yakonov V.A., Islamov I.I., Khusainova E.M., Dzhemilev U.M.
Mendeleev Communications, 2018
28.
New 1Z,5Z-diene macrodiolides: Catalytic synthesis, anticancer activity, induction of mitochondrial apoptosis, and effect on the cell cycle
29.
Direct Synthesis of Polyaromatic Cyclophanes Containing Bis-Methylene-Interrupted Z-Double Bonds and Study of Their Antitumor Activity In Vitro
D’yakonov V.A., Islamov I.I., Dzhemileva L.U., Makarova E.K., Dzhemilev U.M.
International Journal of Molecular Sciences, 2021
30.
Synthesis of macrocyclic and linear compounds with 1Z,5Z-diene and alkynylcarbinol fragments based on (5Z,9Z)-tetradeca-5,9-diene-1,14-diol
Islamov I.I., Makarov A.A., Makarova E.K., Yusupova A.V., D’yakonov V.A., Dzhemilev U.M.
Russian Chemical Bulletin, 2023
31.
Synthesis of polyether macrodiolides based on acetylenic derivatives of (5Z,9Z)-tetradeca-5,9-diene-1,14-dioic acid
Islamov I.I., Yusupova A.V., D’yakonov V.A., Dzhemilev U.M.
Russian Chemical Bulletin, 2023
32.
Synthesis of macrocyclic mono- and diolides based on new ω-hydroxyalkadienoic acids with (Z,Z)-1,5-diene moiety
Islamov I.I., Gaisin I.V., Dzhemilev U.M., D’yakonov V.A.
Russian Chemical Bulletin, 2024
33.
New Polyether Macrocycles as Promising Antitumor Agents─Targeted Synthesis and Induction of Mitochondrial Apoptosis
Islamov I.I., Dzhemileva L.U., Gaisin I.V., Dzhemilev U.M., D′yakonov V.A.
ACS Omega, 2024
34.
Metallacomplex catalysis in the synthesis of regular isoprenoids
Dzhemilev U.M., Dzhemileva L.U., D’yakonov V.A.
Russian Chemical Bulletin, 2023
36.
A greatly improved procedure for ruthenium tetroxide catalyzed oxidations of organic compounds
Carlsen P.H., Katsuki T., Martin V.S., Sharpless K.B.
Journal of Organic Chemistry, 1981
37.
Multigram Synthesis of Diastereomerically Pure Tetrahydrofuran-diols
Stark C., Göhler S., Roth S., Cheng H., Göksel H., Rupp A., Haustedt L.
Synthesis, 2007
38.
Synthesis of 2,5-dialkyl-substituted tetrahydrofurans — symmetrical analogs of natural acetogenins
Makarov A.A., Ishbulatov I.V., Makarova E.K., Dzhemilev U.M., D’yakonov V.A.
Russian Chemical Bulletin, 2023
39.
Synthesis of aryl-substituted derivatives of acetogenins using the Ti-catalyzed homo-cyclomagnesiation of 1,2-dienes as a key step
Makarov A.A., Ishbulatov I.V., Makarova E.K., D’yakonov V.A., Dzhemilev U.M.
Russian Chemical Bulletin, 2023
41.
A large-scale study of ionic liquids employed in chemistry and energy research to reveal cytotoxicity mechanisms and to develop a safe design guide
Dzhemileva L.U., D'yakonov V.A., Seitkalieva M.M., Kulikovskaya N.S., Egorova K.S., Ananikov V.P.
Green Chemistry, 2021
44.
A quantitative analysis of kinase inhibitor selectivity
Karaman M.W., Herrgard S., Treiber D.K., Gallant P., Atteridge C.E., Campbell B.T., Chan K.W., Ciceri P., Davis M.I., Edeen P.T., Faraoni R., Floyd M., Hunt J.P., Lockhart D.J., Milanov Z.V., et. al.
Nature Biotechnology, 2008
45.
3-Oxabicyclo[3.3.1]nonenes: synthesis and investigation as tyrosyl-DNA phosphodiesterase 1 inhibitors
Dyrkheeva N.S., Ilyina I.V., Volcho K.P., Salakhutdinov N.F., Lavrik O.I.
Russian Chemical Bulletin, 2023
46.
5,6-Dihydropyran derivatives of nor-lupane: synthesis and properties
Nemtarev A.V., Ponomaryov D.V., Idrisova L.R., Anikina L.V., Brel’ V.K., Tsepaeva O.V., Mironov V.F.
Russian Chemical Bulletin, 2024