Home / Publications / Синтез и фунгицидная активность тетразолилсодержащих тиоэфиров ряда 2(5H)-фуранона

Синтез и фунгицидная активность тетразолилсодержащих тиоэфиров ряда 2(5H)-фуранона

Е. Ш. Сайгитбаталова 1
Е. Ш. Сайгитбаталова
Н. С. Чарушин 1
Н. С. Чарушин
Л. З. Латыпова 1
Л. З. Латыпова
С. В. Колышкина 2
С. В. Колышкина
Д. П. Герасимова 1, 3
Д. П. Герасимова
Д. А. Новичихина 4
Д. А. Новичихина
О. А. Лодочникова 1, 3
О. А. Лодочникова
А. Р. Каюмов 2 *
А. Р. Каюмов
А. Р. Курбангалиева 1 *
А. Р. Курбангалиева
Published 2025-12-10
Share
Cite this
GOST
 | 
Cite this
GOST Copy
Сайгитбаталова Е. Ш. et al. Синтез и фунгицидная активность тетразолилсодержащих тиоэфиров ряда 2(5H)-фуранона // Russian Chemical Bulletin. 2025. Vol. 75. No. 1. pp. 276-284.
GOST all authors (up to 50) Copy
Сайгитбаталова Е. Ш., Чарушин Н. С., Латыпова Л. З., Колышкина С. В., Герасимова Д. П., Новичихина Д. А., Лодочникова О. А., Каюмов А. Р., Курбангалиева А. Р. Синтез и фунгицидная активность тетразолилсодержащих тиоэфиров ряда 2(5H)-фуранона // Russian Chemical Bulletin. 2025. Vol. 75. No. 1. pp. 276-284.
RIS
 | 
Cite this
RIS Copy
TY - JOUR
UR - https://russchembull.colab.ws/publications/55
TI - Синтез и фунгицидная активность тетразолилсодержащих тиоэфиров ряда 2(5H)-фуранона
T2 - Russian Chemical Bulletin
AU - Сайгитбаталова, Е. Ш.
AU - Чарушин, Н. С.
AU - Латыпова, Л. З.
AU - Колышкина, С. В.
AU - Герасимова, Д. П.
AU - Новичихина, Д. А.
AU - Лодочникова, О. А.
AU - Каюмов, А. Р.
AU - Курбангалиева, А. Р.
PY - 2025
DA - 2025/12/10
PB - Известия Академии наук. Серия химическая
SP - 276-284
IS - 1
VL - 75
ER -
BibTex
 | 
Cite this
BibTex (up to 50 authors) Copy
@article{2025_Сайгитбаталова,
author = {Е. Ш. Сайгитбаталова and Н. С. Чарушин and Л. З. Латыпова and С. В. Колышкина and Д. П. Герасимова and Д. А. Новичихина and О. А. Лодочникова and А. Р. Каюмов and А. Р. Курбангалиева},
title = {Синтез и фунгицидная активность тетразолилсодержащих тиоэфиров ряда 2(5H)-фуранона},
journal = {Russian Chemical Bulletin},
year = {2025},
volume = {75},
publisher = {Известия Академии наук. Серия химическая},
month = {Dec},
url = {https://russchembull.colab.ws/publications/55},
number = {1},
pages = {276--284}
}
MLA
Cite this
MLA Copy
Сайгитбаталова, Е. Ш., et al. “Синтез и фунгицидная активность тетразолилсодержащих тиоэфиров ряда 2(5H)-фуранона.” Russian Chemical Bulletin, vol. 75, no. 1, Dec. 2025, pp. 276-284. https://russchembull.colab.ws/publications/55.

Keywords

2(5Н)-фураноны
γ-лактоны
противогрибковая активность
тетразолы
фунгициды

Abstract

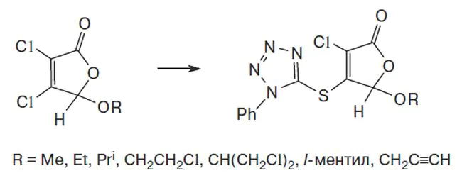
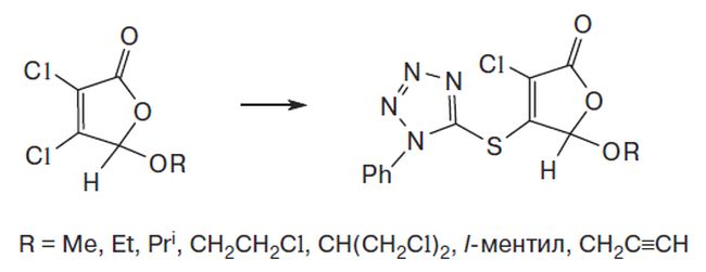
При взаимодействии 5-замещенных производных 3,4-дихлор-2(5H)-фуранона с 5-меркапто-1-фенилтетразолом в присутствии триэтиламина получена серия гетероциклов, содержащих тетразолилсульфанильный фрагмент у атома углерода С(4) лактонного цикла. Структура четырех новых 1,5-дизамещенных тетразолов охарактеризована методом рентгеноструктурного анализа. У некоторых гетероциклов выявлена умеренная противогрибковая активность по отношению к Aspergillus niger, Fusarium solani, Candida albicans и Alternaria alternata, однако ни одно из соединений не проявило антибактериальной активности.

References

1.
Hidden Killers: Human Fungal Infections
Brown G.D., Denning D.W., Gow N.A., Levitz S.M., Netea M.G., White T.C.
Science Translational Medicine, 2012
2.
Medicinal chemistry of tetrazoles
Ostrovskii V.A., Trifonov R.E., Popova E.A.
Russian Chemical Bulletin, 2012
4.
Tetrazoles for biomedicine
Popova E.A., Trifonov R.E., Ostrovskii V.A.
Russian Chemical Reviews, 2019
5.
Tetrazoles and Related Heterocycles as Promising Synthetic Antidiabetic Agents
Trifonov R.E., Ostrovskii V.A.
International Journal of Molecular Sciences, 2023
8.
A new tetrazole-containing 2-amino-4,6-di(aziridin-1-yl)-1,3,5-triazine derivative: synthesis, interaction with DNA, and antitumor activity
Mikolaichuk O.V., Sharoyko V.V., Popova E.A., Protas A.V., Fonin A.V., Anufrikov Y.A., Malkova A.M., Shmaneva N.T., Ostrovskii V.A., Molchanov O.E., Maistrenko D.N., Semenov K.N.
Russian Chemical Bulletin, 2022
10.
Insights into the chemistry and therapeutic potential of furanones: A versatile pharmacophore.
Husain A., Khan S.A., Iram F., Iqbal M.A., Asif M.
European Journal of Medicinal Chemistry, 2019
11.
Δα,β-Butenolides [Furan-2(5H)-ones]: Ring Construction Approaches and Biological Aspects - A Mini-Review
Villamizar-Mogotocoro A., León-Rojas A., Urbina-González J.
Mini-Reviews in Organic Chemistry, 2020
12.
3,4-Dihalo-5-hydroxy-2(5H)-furanones: Highly Reactive Small Molecules
Żurawska K., Byczek-Wyrostek A., Kasprzycka A., Walczak K.
Molecules, 2024
13.
The Novel Chiral 2(5H)-Furanone Sulfones Possessing Terpene Moiety: Synthesis and Biological Activity
Khabibrakhmanova A.M., Faizova R.G., Lodochnikova O.A., Zamalieva R.R., Latypova L.Z., Trizna E.Y., Porfiryev A.G., Tanaka K., Sachenkov O.A., Kayumov A.R., Kurbangalieva A.R.
Molecules, 2023
14.
Phototriggered Butenolide Formation from a Cyclobutenedione and an Acidic Nucleophile
Mishiro K., Sesumi A., Fujii T., Furuyama T., Kunishima M.
Organic Letters, 2023
15.
US Pat. 4335200; Chem. Abstrs., 1982
16.
WO Pat. 2009/158393; Chem. Abstrs., 2009
17.
Balšánek V., Tichotová L., Kuneš J., Špulák M., Pour M., Votruba I., Buchta V.
Collection of Czechoslovak Chemical Communications, 2009
18.
Mucochloric Acid. I. Reactions of the Pseudo Acid Group
Mowry D.T.
Journal of the American Chemical Society, 1950
20.
Л. Т. Хоанг, А. Р. Курбангалиева, А. С. Ежова, Е. А. Бердников, Г. А. Чмутова, Бутлеров. сообщ., 2015, 42, 33
21.
Antimicrobial Effects of Sulfonyl Derivative of 2(5H)-Furanone against Planktonic and Biofilm Associated Methicillin-Resistant and -Susceptible Staphylococcus aureus
Sharafutdinov I.S., Trizna E.Y., Baidamshina D.R., Ryzhikova M.N., Sibgatullina R.R., Khabibrakhmanova A.M., Latypova L.Z., Kurbangalieva A.R., Rozhina E.V., Klinger-Strobel M., Fakhrullin R.F., Pletz M.W., Bogachev M.I., Kayumov A.R., Makarewicz O., et. al.
Frontiers in Microbiology, 2017
22.
Analgesic Effects of 5-Alkyloxy-4-amino-2(5H)-furanones as Cholecystokinin-2 Antagonists
Lattmann E., Sattayasai J., Schwalbe C.H., Boonprakob Y., Dunn S., Fajana F., Lattmann P.
Archiv der Pharmazie, 2016
23.
Synthesis of Novel Arylthio Derivatives of Mucochloric Acid
Kurbangalieva A.R., Devyatova N.F., Bogdanov A.V., Berdnikov E.A., Mannafov T.G., Krivolapov D.B., Litvinov I.A., Chmutova G.A.
Phosphorus, Sulfur and Silicon and the Related Elements, 2007
24.
Sulfides, sulfones, and sulfoxides of the furan-2(5H)-one series. synthesis and structure
Latypova L.Z., Saigitbatalova E.S., Chulakova D.R., Lodochnikova O.A., Kurbangalieva A.R., Berdnikov E.A., Chmutova G.A.
Russian Journal of Organic Chemistry, 2014
25.
Synthesis of heterocycles bearing 2(5H)-furanone and (S)-naproxen moieties
Khabibrakhmanova A.M., Zamalieva R.R., Latypova L.Z., Lodochnikova O.A., Saigitbatalova E.S., Shtyrlin N.V., Kurbangalieva A.R.
Russian Chemical Bulletin, 2024
26.
Synthesis and antiviral activity of nonannulated tetrazolylpyrimidines
Ostrovskii V.А., Danagulyan G.G., Nesterova O.M., Pavlyukova Y.N., Tolstyakov V.V., Zarubina O.S., Slepukhin P.А., Esaulkova Y.L., Muryleva A.А., Zarubaev V.V., Trifonov R.E.
Chemistry of Heterocyclic Compounds, 2021
27.
Increasing Susceptibility of Drug-Resistant Candida albicans to Fluconazole and Terbinafine by 2(5H)-Furanone Derivative
Sharafutdinov I.S., Ozhegov G.D., Sabirova A.E., Novikova V.V., Lisovskaya S.A., Khabibrakhmanova A.M., Kurbangalieva A.R., Bogachev M.I., Kayumov A.R.
Molecules, 2020
28.
Antimicrobial and Biofilm-Preventing Activity of l-Borneol Possessing 2(5H)-Furanone Derivative F131 against S. aureus—C. albicans Mixed Cultures
Sulaiman R., Trizna E., Kolesnikova A., Khabibrakhmanova A., Kurbangalieva A., Bogachev M., Kayumov A.
Pathogens, 2022
29.
Optically Active Sulfoxides from 2(5H)-Furanone and Monoterpene Alcohols: Synthesis, Structure, and Antibacterial Activity
Khabibrakhmanova A.M., Faizova R.G., Gerasimova D.P., Trizna E.Y., Lodochnikova O.A., Kayumov A.R., Latypova L.Z., Kurbangalieva A.R.
Uchenye Zapiski Kazanskogo Universiteta. Seriya Estestvennye Nauki, 2024
31.
SHELXT– Integrated space-group and crystal-structure determination
Sheldrick G.M.
Acta Crystallographica Section A: Foundations and Advances, 2015
32.
Crystal structure refinement withSHELXL
Sheldrick G.M.
Acta crystallographica. Section C, Structural chemistry, 2015
33.
OLEX2: a complete structure solution, refinement and analysis program
Dolomanov O.V., Bourhis L.J., Gildea R.J., Howard J.A., Puschmann H.
Journal of Applied Crystallography, 2009
34.
A. L. Spek, Acta Crystallogr., D Biol. Crystallogr., 2009, 65, 148
35.
EUCAST expert rules in antimicrobial susceptibility testing
Leclercq R., Cantón R., Brown D.F., Giske C.G., Heisig P., MacGowan A.P., Mouton J.W., Nordmann P., Rodloff A.C., Rossolini G.M., Soussy C.-., Steinbakk M., Winstanley T.G., Kahlmeter G.
Clinical Microbiology and Infection, 2013