Home / Publications / Спин-меченый фенофибрат: синтез и взаимодействие с липидными мембранами

Спин-меченый фенофибрат: синтез и взаимодействие с липидными мембранами

Д. С. Баранов 1
Д. С. Баранов
А. Н. Атнюкова 1, 2
А. Н. Атнюкова
С. В. Комлина 2
С. В. Комлина
А. С. Кашник 1
А. С. Кашник
С. А. Дзюба 1 *
С. А. Дзюба
Published 2025-12-10
Share
Cite this
GOST
 | 
Cite this
GOST Copy
Баранов Д. С. et al. Спин-меченый фенофибрат: синтез и взаимодействие с липидными мембранами // Russian Chemical Bulletin. 2025. Vol. 75. No. 2. pp. 661-666.
GOST all authors (up to 50) Copy
Баранов Д. С., Атнюкова А. Н., Комлина С. В., Кашник А. С., Дзюба С. А. Спин-меченый фенофибрат: синтез и взаимодействие с липидными мембранами // Russian Chemical Bulletin. 2025. Vol. 75. No. 2. pp. 661-666.
RIS
 | 
Cite this
RIS Copy
TY - JOUR
UR - https://russchembull.colab.ws/publications/89
TI - Спин-меченый фенофибрат: синтез и взаимодействие с липидными мембранами
T2 - Russian Chemical Bulletin
AU - Баранов, Д. С.
AU - Атнюкова, А. Н.
AU - Комлина, С. В.
AU - Кашник, А. С.
AU - Дзюба, С. А.
PY - 2025
DA - 2025/12/10
PB - Известия Академии наук. Серия химическая
SP - 661-666
IS - 2
VL - 75
ER -
BibTex
 | 
Cite this
BibTex (up to 50 authors) Copy
@article{2025_Баранов,
author = {Д. С. Баранов and А. Н. Атнюкова and С. В. Комлина and А. С. Кашник and С. А. Дзюба},
title = {Спин-меченый фенофибрат: синтез и взаимодействие с липидными мембранами},
journal = {Russian Chemical Bulletin},
year = {2025},
volume = {75},
publisher = {Известия Академии наук. Серия химическая},
month = {Dec},
url = {https://russchembull.colab.ws/publications/89},
number = {2},
pages = {661--666}
}
MLA
Cite this
MLA Copy
Баранов, Д. С., et al. “Спин-меченый фенофибрат: синтез и взаимодействие с липидными мембранами.” Russian Chemical Bulletin, vol. 75, no. 2, Dec. 2025, pp. 661-666. https://russchembull.colab.ws/publications/89.

Keywords

2H ESEEM
ДЭЭР
кросс-сочетание Соногаширы
липидный бислой
ЭПР

Abstract

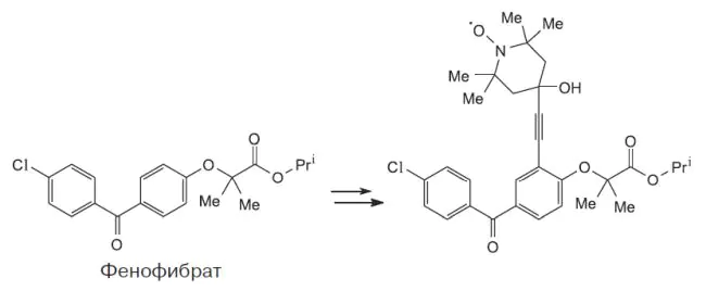
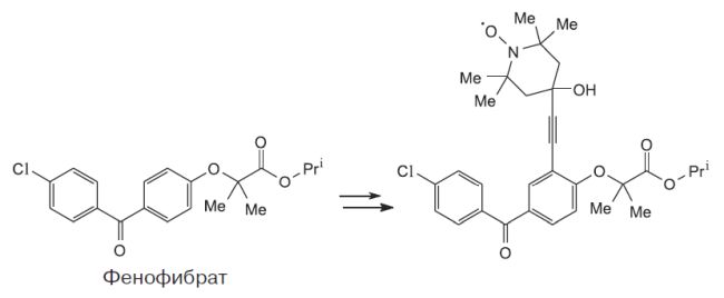
Фенофибрат является классическим препаратом для лечения гиперлипидемии и снижения уровня липопротеинов высокой плотности. Для изучения физико-химических свойств фенофибрата при наличии его спин-меченых аналогов можно использовать спектроскопию электронного парамагнитного резонанса (ЭПР). Описан синтез спин-меченого фенофибрата (Feno-SL), включающий стадии иодирования, кросс-сочетания Соногаширы и перекисного окисления. Методом ЭПР показано, что Feno-SL связывается с модельной липидной мембраной, приготовленной из пальмитоил-2-олеоил-sn-глицеро-3-фосфохолина. Степень мечения, определенная с помощью спектроскопии двойного электрон-электронного резонанса для Feno-SL в спиртовом стекле, близка к 100%. Данные спектроскопии модуляции огибающей спадов спинового эха при гидратации мембран тяжелой водой (D2O) показали, что средняя глубина погружения Feno-SL соответствует положению 5 атома углерода в липидной цепи.

References

1.
Fenofibrate
McKeage K., Keating G.M.
Drugs, 2011
2.
An Investigative Review for Pharmaceutical Analysis of Fenofibrate
Saha M., Dhiman S., Gupta G.D., Asati V.
Journal of Chromatographic Science, 2022
3.
Jin L., Hua H., Ji Y., Jia Z., Peng M., Huang S.
Biomolecules & biomedicine, 2023
4.
Nanovesicles-Mediated Drug Delivery for Oral Bioavailability Enhancement
Ren Y., Nie L., Zhu S., Zhang X.
International Journal of Nanomedicine, 2022
5.
Electron spin resonance spectroscopy in drug delivery
Martini G., Ciani L.
Physical Chemistry Chemical Physics, 2009
6.
Fenofibrate
Keating G.M.
American Journal of Cardiovascular Drugs, 2011
9.
Nanoformulations - Insights Towards Characterization Techniques
Vijayaraghavalu S., Krishnaswami V., Sugumaran A., Perumal V., Manavalan M., Kondeti D.P., Basha S.K., Ahmed M.A., Kumar M.
Current Drug Targets, 2022
10.
Association of ibuprofen at the polar/apolar interface of lipid membranes
Aloi E., Rizzuti B., Guzzi R., Bartucci R.
Archives of Biochemistry and Biophysics, 2018
13.
Spin-Labeled Diclofenac: Synthesis and Interaction with Lipid Membranes
Baranov D.S., Kashnik A.S., Atnyukova A.N., Dzuba S.A.
Molecules, 2023
14.
Counting the Monomers in Nanometer-Sized Oligomers by Pulsed Electron−Electron Double Resonance
Bode B.E., Margraf D., Plackmeyer J., Dürner G., Prisner T.F., Schiemann O.
Journal of the American Chemical Society, 2007
15.
Noncovalent spin-labeling of RNA: the aptamer approach
Saha S., Hetzke T., Prisner T.F., Sigurdsson S.T.
Chemical Communications, 2018
16.
А. Д. Милов, К. М. Салихов, М. Д. Щиров, Физика тверд. тела, 1981, 23, 975
19.
ESEEM Measurements of Local Water Concentration in D2O-Containing Spin-Labeled Systems
Milov A.D., Samoilova R.I., Shubin A.A., Grishin Y.A., Dzuba S.A.
Applied Magnetic Resonance, 2008
21.
Hydrogenation of stable nitroxyl radicals with acetylenic bonds on Ni, Pd, and Pt catalysts
Litvin E.F., Kozlova L.M., Shapiro A.B., Freidlin L.K., Rozantsev �.G., Skripnichenko L.N.
Russian Chemical Bulletin, 1979