Home / Publications / Синтез функционализированных 1,2-бисфосфорилпропанов и их аналогов

Синтез функционализированных 1,2-бисфосфорилпропанов и их аналогов

Ю. Н. Бубнов 1, 2
Ю. Н. Бубнов
А. А. Прищенко 1
А. А. Прищенко
М. В. Ливанцов 3
М. В. Ливанцов
О. П. Новикова 3
О. П. Новикова
Л. И. Ливанцова 3
Л. И. Ливанцова
С. В. Баранин 1 *
С. В. Баранин
Published 2025-12-10
Share
Cite this
GOST
 | 
Cite this
GOST Copy
Бубнов Ю. Н. et al. Синтез функционализированных 1,2-бисфосфорилпропанов и их аналогов // Russian Chemical Bulletin. 2025. Vol. 75. No. 2. pp. 601-608.
GOST all authors (up to 50) Copy
Бубнов Ю. Н., Прищенко А. А., Ливанцов М. В., Новикова О. П., Ливанцова Л. И., Баранин С. В. Синтез функционализированных 1,2-бисфосфорилпропанов и их аналогов // Russian Chemical Bulletin. 2025. Vol. 75. No. 2. pp. 601-608.
RIS
 | 
Cite this
RIS Copy
TY - JOUR
UR - https://russchembull.colab.ws/publications/83
TI - Синтез функционализированных 1,2-бисфосфорилпропанов и их аналогов
T2 - Russian Chemical Bulletin
AU - Бубнов, Ю. Н.
AU - Прищенко, А. А.
AU - Ливанцов, М. В.
AU - Новикова, О. П.
AU - Ливанцова, Л. И.
AU - Баранин, С. В.
PY - 2025
DA - 2025/12/10
PB - Известия Академии наук. Серия химическая
SP - 601-608
IS - 2
VL - 75
ER -
BibTex
 | 
Cite this
BibTex (up to 50 authors) Copy
@article{2025_Бубнов,
author = {Ю. Н. Бубнов and А. А. Прищенко and М. В. Ливанцов and О. П. Новикова and Л. И. Ливанцова and С. В. Баранин},
title = {Синтез функционализированных 1,2-бисфосфорилпропанов и их аналогов},
journal = {Russian Chemical Bulletin},
year = {2025},
volume = {75},
publisher = {Известия Академии наук. Серия химическая},
month = {Dec},
url = {https://russchembull.colab.ws/publications/83},
number = {2},
pages = {601--608}
}
MLA
Cite this
MLA Copy
Бубнов, Ю. Н., et al. “Синтез функционализированных 1,2-бисфосфорилпропанов и их аналогов.” Russian Chemical Bulletin, vol. 75, no. 2, Dec. 2025, pp. 601-608. https://russchembull.colab.ws/publications/83.

Keywords

1,2-бисфосфорилпропаны
аллилбромид
аминометилирование
биологически активные вещества
диэтилфосфит
полидентатные лиганды
фосфоноуксусный эфир
фосфорорганические соединения
экстрагенты
эпихлоргидрин

Abstract

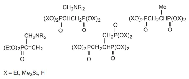
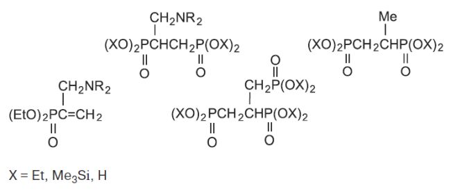
Функционализированные 1,2-бисфосфорилпропаны и их аналоги, содержащие фрагменты P—C(С—N)—C—P, получены на основе фосфоноуксусного эфира, аллилбромида и эпихлоргидрина. Присоединение диэтилфосфита к промежуточным 1-(диалкиламинометил)винилфосфонатам приводит с высокими выходами к новым целевым соединениям. Полученные вещества являются структурными аналогами аминокарбоновых кислот и природных пирофосфатов и представляют интерес как перспективные биологически активные вещества, водорастворимые полидентатные лиганды и эффективные экстрагенты.

References

2.
D. E. C. Corbridge, Phosphorus: Chemistry, Biochemistry and Technology, CRC Press, New York, 2016, 1473.
4.
V. P. Kukhar, H. R. Hudson, Aminophosphonic and Aminophosphinic Acids. Chemistry and Biological Activity, Wiley, New York, USA, 2000, 634.
8.
The relationship between the chemistry and biological activity of the bisphosphonates
Ebetino F.H., Hogan A.L., Sun S., Tsoumpra M.K., Duan X., Triffitt J.T., Kwaasi A.A., Dunford J.E., Barnett B.L., Oppermann U., Lundy M.W., Boyde A., Kashemirov B.A., McKenna C.E., Russell R.G., et. al.
Bone, 2011
9.
Amino-Substituted GEM-Bisphosphonates
Widler L., Jaeggi K.A., Green J.R.
Phosphorus, Sulfur and Silicon and the Related Elements, 1999
10.
Recent Advances in the Research on Herbicidally Active Aminomethylenebisphosphonic Acids
Kafarski P., Lejczak B., Forlani G., Chuiko A.L., Lozinsky M.O., Jasicka-Misiak I., Czekaza K., Lipok J.
Phosphorus, Sulfur and Silicon and the Related Elements, 1999
11.
Activity of Bisphosphonates against Trypanosoma brucei rhodesiense
Martin M.B., Sanders J.M., Kendrick H., de Luca-Fradley K., Lewis J.C., Grimley J.S., Van Brussel E.M., Olsen J.R., Meints G.A., Burzynska A., Kafarski P., Croft S.L., Oldfield E.
Journal of Medicinal Chemistry, 2002
13.
Studies on Novel Bone Resorption Inhibitors. I. Synthesis and Pharmacological Activites of Aminomethylenebisphosphonate Derivatives.
TAKEUCHI M., SAKAMOTO S., YOSHIDA M., ABE T., ISOMURA Y.
Chemical and Pharmaceutical Bulletin, 2011
17.
Zn2[(S)-O3PCH2NHC4H7CO2]2: A Homochiral 3D Zinc Phosphonate with Helical Channels
Shi X., Zhu G., Qiu S., Huang K., Yu J., Xu R.
Angewandte Chemie - International Edition, 2004
21.
M. Regitz, Methoden der Organischen Chemie (Houben-Weil), Georg Thieme Verlag: Stuttgart, 1982, E1, 606.
22.
Э. Е. Нифантьев, Химия гидрофосфорильных соединений, Наука, Москва, 1983, 264 [E. E. Nifantiev, Chemistry of hydrophosphoryl compounds, Nauka, Moscow, 1983, 264 pp.
24.
А. А. Прищенко, О. П. Новикова, М. В. Ливанцов, Е. В. Григорьев, Журн. общ. химии, 1997, 67, 1919 [A. A. Prishchenko, O. P. Novikova, M. V. Livantsov, E. V. Grigoriev, Russ. J. Gen. Chem., 1997, 67, 1808
25.
Bis(trimethylsiloxy)phosphine as key synthon for synthesis of new aminomethylphosphinic acids with N-alkyl 4-hydroxypiperidines moieties
Prishchenko A.A., Alekseyev R.S., Livantsov M.V., Novikova O.P., Livantsova L.I., Petrosyan V.S.
Inorganica Chimica Acta, 2019
26.
New functionalized derivatives of mono- and diphosphonic acids substituted with five-membered nitrogen heterocycles
Prishchenko A.A., Livantsov M.V., Novikova O.P., Livantsova L.I., Alekseyev R.S., Terenin V.I., Petrosyan V.S.
Russian Chemical Bulletin, 2017
27.
Tris(trimethylsilyl) phosphite as key synthon for convenient synthesis of new organosilicon(phosphorus)-containing N-heterocycles
Prishchenko A.A., Alekseyev R.S., Livantsov M.V., Novikova O.P., Livantsova L.I., Petrosyan V.S.
Journal of Organometallic Chemistry, 2018
28.
Synthesis of new functionalized aryl and pyridyl aminomethylenebisphosphonic acids and their derivatives via silicon-assisted methodology
Prishchenko A.A., Alekseyev R.S., Livantsov M.V., Novikova O.P., Livantsova L.I., Petrosyan V.S.
Journal of Organometallic Chemistry, 2020
29.
Silicon-assisted synthesis of new aminomethylenebisphosphonic acids with quinolines moieties
Prishchenko A.A., Alekseyev R.S., Livantsov M.V., Novikova O.P., Livantsova L.I., Petrosyan V.S.
Journal of Organometallic Chemistry, 2020
30.
A convenient catalytic silicon-assisted route towards new non-proteinogenic amino acids with methylenebisphosphonic acids moieties
Prishchenko A.A., Alekseyev R.S., Livantsov M.V., Novikova O.P., Livantsova L.I., Petrosyan V.S.
Journal of Organometallic Chemistry, 2021
31.
Catalytic N-diphosphonomethylation of amino alkanols and bisamino alkanes using tris(trimethylsilyl) phosphite as a convenient synthon
Prishchenko A.A., Alekseyev R.S., Novikova O.P., Livantsov M.V., Livantsova L.I., Petrosyan V.S.
Journal of Organometallic Chemistry, 2022
32.
Organosilicon based synthesis of new functionalized aminomethylenediphosphonates with moieties of amino acids
Prishchenko A.A., Alekseyev R.S., Livantsov M.V., Novikova O.P., Livantsova L.I., Petrosyan V.S.
Journal of Organometallic Chemistry, 2018
33.
Imine-based synthesis of functionalized phosphorus-containing carboxamides
Bubnov Y.N., Prishchenko A.A., Livantsov M.V., Novikova O.P., Livantsova L.I., Baranin S.V.
Russian Chemical Bulletin, 2025
34.
Oxirane-based synthesis of functionalized derivatives of 2-hydroxyalkyl-substituted organophosphorus acids
Bubnov Y.N., Prishchenko A.A., Livantsov M.V., Novikova O.P., Livantsova L.I., Baranin S.V.
Russian Chemical Bulletin, 2025
35.
N,N′,N″-Trisubstituted hexahydro-1,3,5-triazine-based synthesis of mono- and diphosphorus-containing amino acids
Bubnov Y.N., Prishchenko A.A., Livantsov M.V., Novikova O.P., Livantsova L.I., Baranin S.V.
Russian Chemical Bulletin, 2025
36.
Synthesis and functionalization of P(O)CH2NH- and P(O)CH2NSi-containing amines
Bubnov Y.N., Prishchenko A.A., Livantsov M.V., Novikova O.P., Livantsova L.I., Baranin S.V.
Russian Chemical Bulletin, 2025
37.
Synthesis of functionalized hydroxymethylene-containing bisorganophosphorus acids
Bubnov Y.N., Prishchenko A.A., Livantsov M.V., Novikova O.P., Livantsova L.I., Baranin S.V.
Russian Chemical Bulletin, 2024
39.
К. А. Петров, Ф. Л. Маклаев, Н. К. Близнюк, Журн. общ. химии, 1960, 30, 1608 [K. A. Petrov, F. L. Maklyaev, N. K. Bliznyuk, Russ. J. Gen. Chem., 1960, 30, 1608
40.
А. Н. Пудовик, М. Г. Зимин, А. А. Собанов, Б. Х. Камалетдинова, Журн. общ. химии, 1975, 45, 2403 [A. N. Pudovik, M. G. Zimin, A. A. Sobanov, B. H. Kamaletdinova, Russ. J. Gen. Chem., 1975, 45, 2362
41.
Propane-1,2,3-triphosphonic acid and butane-1,2,3,4-tetraphosphonic acid
Cilley W.A., Nicholson D.A., Campbell D.
Journal of the American Chemical Society, 1970
42.
Э. Е. Нифантьев, В. И. Масленникова, А. М. Табер, И. В. Калечиц, Журн. общ. химии, 1982, 52, 2459 [E. E. Nifantiev, V. I. Maslennikova, A. M. Taber, I. V. Kalechits, 1982, 52, 2173