Home / Publications / Синтез и исследование антигельминтной активности замещенных 5-арил-5-оксо-1-циано-3-{[3-(этоксикарбонил)тиофен-2-ил]амино}пента- 1,3-диен-2-олатов натрия

Синтез и исследование антигельминтной активности замещенных 5-арил-5-оксо-1-циано-3-{[3-(этоксикарбонил)тиофен-2-ил]амино}пента- 1,3-диен-2-олатов натрия

Д. А. Козлов 1
Д. А. Козлов
Д. В. Липин 2
Д. В. Липин
И. А. Горбунова 2, 3
И. А. Горбунова
А. В. Старкова 4
А. В. Старкова
О. Ю. Устинова 5
О. Ю. Устинова
П. С. Силайчев 1
П. С. Силайчев
Д. А. Шипиловских 3, 6
Д. А. Шипиловских
С. А. Шипиловских 1, 2 *
С. А. Шипиловских
1 Пермский государственный национальный исследовательский университет
5 Федеральный научный центр медико-профилактических технологий управления рисками здоровью населения
Published 2025-12-10
Share
Cite this
GOST
 | 
Cite this
GOST Copy
Козлов Д. А. et al. Синтез и исследование антигельминтной активности замещенных 5-арил-5-оксо-1-циано-3-{[3-(этоксикарбонил)тиофен-2-ил]амино}пента- 1,3-диен-2-олатов натрия // Russian Chemical Bulletin. 2025. Vol. 75. No. 2. pp. 587-593.
GOST all authors (up to 50) Copy
Козлов Д. А., Липин Д. В., Горбунова И. А., Старкова А. В., Устинова О. Ю., Силайчев П. С., Шипиловских Д. А., Шипиловских С. А. Синтез и исследование антигельминтной активности замещенных 5-арил-5-оксо-1-циано-3-{[3-(этоксикарбонил)тиофен-2-ил]амино}пента- 1,3-диен-2-олатов натрия // Russian Chemical Bulletin. 2025. Vol. 75. No. 2. pp. 587-593.
RIS
 | 
Cite this
RIS Copy
TY - JOUR
UR - https://russchembull.colab.ws/publications/81
TI - Синтез и исследование антигельминтной активности замещенных 5-арил-5-оксо-1-циано-3-{[3-(этоксикарбонил)тиофен-2-ил]амино}пента- 1,3-диен-2-олатов натрия
T2 - Russian Chemical Bulletin
AU - Козлов, Д. А.
AU - Липин, Д. В.
AU - Горбунова, И. А.
AU - Старкова, А. В.
AU - Устинова, О. Ю.
AU - Силайчев, П. С.
AU - Шипиловских, Д. А.
AU - Шипиловских, С. А.
PY - 2025
DA - 2025/12/10
PB - Известия Академии наук. Серия химическая
SP - 587-593
IS - 2
VL - 75
ER -
BibTex
 | 
Cite this
BibTex (up to 50 authors) Copy
@article{2025_Козлов,
author = {Д. А. Козлов and Д. В. Липин and И. А. Горбунова and А. В. Старкова and О. Ю. Устинова and П. С. Силайчев and Д. А. Шипиловских and С. А. Шипиловских},
title = {Синтез и исследование антигельминтной активности замещенных 5-арил-5-оксо-1-циано-3-{[3-(этоксикарбонил)тиофен-2-ил]амино}пента- 1,3-диен-2-олатов натрия},
journal = {Russian Chemical Bulletin},
year = {2025},
volume = {75},
publisher = {Известия Академии наук. Серия химическая},
month = {Dec},
url = {https://russchembull.colab.ws/publications/81},
number = {2},
pages = {587--593}
}
MLA
Cite this
MLA Copy
Козлов, Д. А., et al. “Синтез и исследование антигельминтной активности замещенных 5-арил-5-оксо-1-циано-3-{[3-(этоксикарбонил)тиофен-2-ил]амино}пента- 1,3-диен-2-олатов натрия.” Russian Chemical Bulletin, vol. 75, no. 2, Dec. 2025, pp. 587-593. https://russchembull.colab.ws/publications/81.

Keywords

2,4-диоксобутановые кислоты
CH-кислоты
аминотиофены
антигельминтная активность
фуран-2(3H)-оны

Abstract

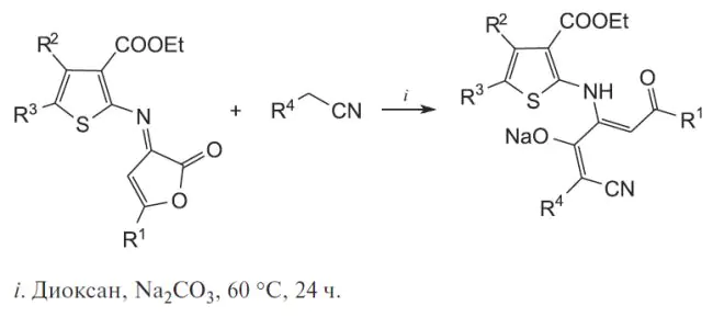
Изучена реакция раскрытия фуранового цикла замещенных этиловых эфиров 2-[(5-арил-2-оксофуран-3(2H)-илиден)амино]-4-арилтиофен-3-карбоновых кислот под действием производных циануксусной кислоты и карбоната натрия, которая протекает с образованием новых замещенных 5-арил-3-{[4-арил-3-(этоксикарбонил)тиофен-2-ил]амино}-5-оксо-1-цианопента-1,3-диен-2-олатов натрия. Методами in vitro исследована антигельминтная активность полученных соединений. Изученные соединения демонстрируют выраженную противопаразитарную эффективность, что делает их перспективной основой для разработки антигельминтных препаратов.

References

1.
A Research Agenda for Helminth Diseases of Humans: Towards Control and Elimination
Boatin B.A., Basáñez M., Prichard R.K., Awadzi K., Barakat R.M., García H.H., Gazzinelli A., Grant W.N., McCarthy J.S., N'Goran E.K., Osei-Atweneboana M.Y., Sripa B., Yang G., Lustigman S.
PLoS Neglected Tropical Diseases, 2012
2.
Prevalence of soil-transmitted helminths and associated risk factors among primary school children in Kandahar, Afghanistan: A cross-sectional analytical study
Rahimi B.A., Rafiqi N., Tareen Z., Kakar K.A., Wafa M.H., Stanikzai M.H., Beg M.A., Dost A.K., Taylor W.R.
PLoS Neglected Tropical Diseases, 2023
3.
A Research Agenda for Helminth Diseases of Humans: The Problem of Helminthiases
Lustigman S., Prichard R.K., Gazzinelli A., Grant W.N., Boatin B.A., McCarthy J.S., Basáñez M.
PLoS Neglected Tropical Diseases, 2012
4.
Gut microbiota disturbance during helminth infection: can it affect cognition and behaviour of children?
Guernier V., Brennan B., Yakob L., Milinovich G., Clements A.C., Soares Magalhaes R.J.
BMC Infectious Diseases, 2017
7.
Helminthiasis Epidemiology and Control
King C.H.
Advances in Parasitology, 2019
9.
Chronic Wasting Due to Liver and Rumen Flukes in Sheep
Kahl A., von Samson-Himmelstjerna G., Krücken J., Ganter M.
Animals, 2021
10.
Eosinophils in Gastrointestinal Disorders
Mehta P., Furuta G.T.
Immunology and Allergy Clinics of North America, 2015
11.
Helminth Allergens, Parasite-Specific IgE, and Its Protective Role in Human Immunity
Fitzsimmons C.M., Falcone F.H., Dunne D.W.
Frontiers in Immunology, 2014
12.
Parasitic Infections of the Gastrointestinal Track and Liver
Braseth A.L., Elliott D.E., Ince M.N.
Gastroenterology Clinics of North America, 2021
13.
Helminth Infections and Host Immune Regulation
McSorley H.J., Maizels R.M.
Clinical Microbiology Reviews, 2012
14.
Prevalence of malaria-helminth co-infections among children living in a setting of high coverage of standard interventions for malaria and helminths: Two population-based studies in Senegal
Afolabi M.O., Sow D., Mbaye I., Diouf M.P., Loum M.A., Fall E.B., Seck A., Manga I.A., Cissé C., Camara B., Diouf A., Gaye N.A., Colle Lo A., Greenwood B., Ndiaye J.L., et. al.
Frontiers in Public Health, 2023
15.
Drug resistance in vectorborne parasites: multiple actors and scenarios for an evolutionary arms race
Vanaerschot M., Huijben S., Van den Broeck F., Dujardin J.
FEMS Microbiology Reviews, 2014
16.
Challenges of drug-resistant malaria
Sinha S., Medhi B., Sehgal R.
Parasite, 2014
17.
Anthelmintic Resistance and Its Mechanism: A Review
Fissiha W., Kinde M.Z.
Infection and Drug Resistance, 2021
18.
Global Change and Helminth Infections in Grazing Ruminants in Europe: Impacts, Trends and Sustainable Solutions
Morgan E., Charlier J., Hendrickx G., Biggeri A., Catalan D., von Samson-Himmelstjerna G., Demeler J., Müller E., van Dijk J., Kenyon F., Skuce P., Höglund J., O'Kiely P., van Ranst B., de Waal T., et. al.
Agriculture (Switzerland), 2013
19.
Global change, parasite transmission and disease control: lessons from ecology
Cable J., Barber I., Boag B., Ellison A.R., Morgan E.R., Murray K., Pascoe E.L., Sait S.M., Wilson A.J., Booth M.
Philosophical Transactions of the Royal Society B: Biological Sciences, 2017
21.
Anthelmintics in the future: current trends in the discovery and development of new drugs against gastrointestinal nematodes
Zajíčková M., Nguyen L.T., Skálová L., Raisová Stuchlíková L., Matoušková P.
Drug Discovery Today, 2020
22.
New Insights into Anthelmintic Mechanisms of Action of a Synthetic Peptide: An Ultrastructural and Nanomechanical Approach
Soares A.M., Alencar L.M., Dias L.P., Lima R.C., Rocha Silva C., Santos-Oliveira R., Oliveira J.T., Junior L.M., Souza P.F.
Polymers, 2021
23.
Anthelmintic efficacy evaluation and mechanism of N-methylbenzo[d]oxazol-2-amine
Prangthip P., Tummatorn J., Adisakwattana P., Uthailak N., Boonyuen U., Tipthara P., Tarning J., Laohapaisan P., Thongsornkleeb C., Ruchirawat S., Reamtong O.
Scientific Reports, 2023
25.
Anthelmintics for drug repurposing: Opportunities and challenges
Alavi S.E., Ebrahimi Shahmabadi H.
Saudi Pharmaceutical Journal, 2021
26.
Exacerbation of Acetaminophen Hepatotoxicity by the Anthelmentic Drug Fenbendazole
Gardner C.R., Mishin V., Laskin J.D., Laskin D.L.
Toxicological Sciences, 2011
27.
Synthesis of thieno[3,2-e]pyrrolo[1,2-a]pyrimidine derivatives and their precursors containing 2-aminothiophenes fragments as anticancer agents for therapy of pulmonary metastatic melanoma
Rogova A., Gorbunova I.A., Karpov T.E., Sidorov R.Y., Rubtsov A.E., Shipilovskikh D.A., Muslimov A.R., Zyuzin M.V., Timin A.S., Shipilovskikh S.A.
European Journal of Medicinal Chemistry, 2023
33.
Rational Design and Synthesis of Biologically Active Disubstituted 2(3H) Furanones and Pyrrolone Derivatives as Potent and Safer Non Steroidal Anti-inflammatory Agents
L. Khokra S., A. Khan S., Choudhary D., M. Hasan S., Ahmad A., Husain A.
Anti-Inflammatory and Anti-Allergy Agents in Medicinal Chemistry, 2016
34.
Rational design and synthesis of new pyrrolone candidates as prospective insecticidal agents against Culex pipiens L. Larvae
Hekal M.H., Hashem A.I., El-Azm F.S., Abdel-Haleem D.R., Rafat E., Ali Y.M.
Scientific Reports, 2024
39.
The Design, Synthesis, and Biological Activities of Pyrrole-Based Carboxamides: The Novel Tubulin Inhibitors Targeting the Colchicine-Binding Site
Boichuk S., Galembikova A., Syuzov K., Dunaev P., Bikinieva F., Aukhadieva A., Zykova S., Igidov N., Gankova K., Novikova M., Kopnin P.
Molecules, 2021
40.
Diketo acids inhibit the cap-snatching endonuclease of several Bunyavirales
Fernández-García Y., Horst S.T., Bassetto M., Brancale A., Neyts J., Rogolino D., Sechi M., Carcelli M., Günther S., Rocha-Pereira J.
Antiviral Research, 2020
41.
2,4-Diketo esters: Crucial intermediates for drug discovery
Joksimović N., Janković N., Davidović G., Bugarčić Z.
Bioorganic Chemistry, 2020
42.
RETRACTED ARTICLE: IspH inhibitors kill Gram-negative bacteria and mobilize immune clearance
Singh K.S., Sharma R., Reddy P.A., Vonteddu P., Good M., Sundarrajan A., Choi H., Muthumani K., Kossenkov A., Goldman A.R., Tang H., Totrov M., Cassel J., Murphy M.E., Somasundaram R., et. al.
Nature, 2020
43.
Synthesis of the substituted derivatives of sodium 5-aryl-5-oxo-3-[(thiophen-2-yl)amino]penta-1,3-dien-2-olates and evaluation of their antinociceptive activity in vivo
Gorbunova I.A., Parkhoma K.Y., Kozlov D.A., Nikonov I.P., Denislamova E.S., Makhmudov R.R., Shipilovskikh D.A.
Russian Chemical Bulletin, 2024
44.
Synthesis, anti-inflammatory activity, and acute toxicity of the substituted 2-[2-(4-nitrobenzoyl)hydrazono]-4-oxobutanoates
Lipin D.V., Metlyakova S.K., Shipilovskikh D.A., Makhmudov R.R., Silaichev P.S., Igidov N.M., Shipilovskikh S.A.
Russian Chemical Bulletin, 2023
45.
2-Aminothiophene Derivatives—New Drug Candidates Against Leishmaniasis: Drug Design, Synthesis, Pharmacomodulation, and Antileishmanial Activity
de Araújo R.S., Bernardo V.G., Tibúrcio R.D., Bedor D.C., Campos M.L., Pontarolo R., de Sousa J.M., Rodrigues K.A., Scotti M.T., Nayarisseri A., Marchand P., Mendonça-Junior F.J.
Pharmaceuticals, 2025
46.
Recent contribution of medicinally active 2-aminothiophenes: A privileged scaffold for drug discovery
Duvauchelle V., Meffre P., Benfodda Z.
European Journal of Medicinal Chemistry, 2022
47.
2-Aminothiophene scaffolds: Diverse biological and pharmacological attributes in medicinal chemistry
Bozorov K., Nie L.F., Zhao J., Aisa H.A.
European Journal of Medicinal Chemistry, 2017
48.
Chemical Tuning of Second Harmonic Generation Efficiency in Aminothiophene-Based Molecular Microcrystals
Zhestkij N.A., Efimova A.S., Timofeeva M., Novikov A.S., Gorbunova I.A., Shipilovskikh D.A., Dmitriev M.V., Shipilovskikh S.A., Milichko V.A.
Journal of Physical Chemistry C, 2024
49.
Self-assembly of thiophene-based luminescent thin films on flexible substrates.
Gorbunova I.A., Timofeeva M., Gunina E., Sharavyeva Y.O., Parkhoma K.Y., Shipilovskikh D.A., Shipilovskikh S.A.
Photonics and Nanostructures - Fundamentals and Applications, 2024
51.
Thiophene-based terpyridine and its zinc halide complexes: third-order nonlinear optical properties in the near-infrared region
Tan J., Li R., Li D., Zhang Q., Li S., Zhou H., Yang J., Wu J., Tian Y.
Dalton Transactions, 2015
52.
Synthesis and Antinociceptive Activity of Substituted Derivatives of Potassium 1-Cyano-3-{(3-cyano-4,5,6,7-tetrahydrobenzo-[b]thiophen-2-yl)amino}-5-oxopenta-1,3-dien-2-olates
Kozlov D.A., Lipin D.V., Gorbunova I.A., Shipilovskikh D.A., Timin A.S., Silaichev P.S., Makhmudov R.R., Shadrin V.M., Shipilovskikh S.A.
Russian Journal of General Chemistry, 2024
53.
Synthesis and anti-inflammatory activity of 4-aryl-2-[(3-cyanothiophen-2-yl)amino]-4-oxobut-2-enoates
Sharavyeva Y.O., Gorbunova I.A., Makhmudov R.R., Shipilovskikh D.A., Silaichev P.S., Shipilovskikh S.A.
Russian Chemical Bulletin, 2023
54.
Synthesis, Intramolecular Cyclization, and Anti-inflammatory Activity of Substituted 2-[2-(4-R-Benzoyl)hydrazinylidene]-4-oxobutanoic Acids
Lipin D.V., Denisova E.I., Shipilovskikh D.A., Makhmudov R.R., Igidov N.M., Shipilovskikh S.A.
Russian Journal of Organic Chemistry, 2022
55.
Synthesis and Antibacterial Activity of 4-Oxo-2-thienylaminobut-2-enoic Acids
Gorbunova I.A., Shadrin V.M., Pulina N.A., Novikova V.V., Dubrovina S.S., Shipilovskikh D.A., Shipilovskikh S.A.
Russian Journal of General Chemistry, 2023
56.
Design and one-pot synthesis of new substituted pyrrolo[1,2-a]thieno[3,2-e]pyrimidine as potential antitumor agents: in vitro and in vivo studies
Gorbunova I.A., Rogova A., Akhmetova D.R., Sidorov R.Y., Priakhin E.E., Makhmudov R.R., Shipilovskikh D.A., Epifanovskaya O.S., Timin A.S., Shipilovskikh S.A.
Bioorganic Chemistry, 2024
57.
Synthesis of 2-amino-1-(3-cyano-4,5,6,7-tetrahydrobenzo[b]thiophen-2-yl)-4-oxo-4,5-dihydro-1H-pyrrole-3-carboxylic acid derivatives and studies of their antitumor activity against melanoma cell line B16-F10
Gorbunova I.A., Rogova A., Parkhoma K.Y., Shipilovskikh D.A., Karpov T.E., Makhmudov R.R., Timin A.S., Shipilovskikh S.A.
Russian Chemical Bulletin, 2024
58.
Synthesis and Cytostatic Activity of Substituted Derivatives of Sodium 1-Amino-2-cyano-1,6-dioxo-4-{[3-(ethoxycarbonyl)thiophen-2-yl]amino}hexa-2,4-dien-3-olates
Gorbunova I.A., Mitusova K.A., Parkhoma K.Y., Sharavyova Y.O., Makhmudov R.R., Ustinova O.Y., Denislamova E.S., Shipilovskikh D.A.
Russian Journal of General Chemistry, 2024
59.
М. П. Николаев, Экспериментальные основы фармакологии и токсикологии, МЕДГИЗ, Москва, 1941, 196 с