Home / Publications / Бис(аза-18-краун-6)содержащий дибензилиденциклобутанон: строение и фотоника его супрамолекулярных комплексов с ионами алкандиаммония

Бис(аза-18-краун-6)содержащий дибензилиденциклобутанон: строение и фотоника его супрамолекулярных комплексов с ионами алкандиаммония

М. В. Фомина 1 *
М. В. Фомина
И. П. Здоровенко 1
И. П. Здоровенко
В. Н. Гутров 1
В. Н. Гутров
А. И. Ведерников 1
А. И. Ведерников
В. Н. Нуриев 1, 2
В. Н. Нуриев
Д. С. Ионов 1
Д. С. Ионов
Д. Е. Махров 1
Д. Е. Махров
А. К. Чибисов 1
А. К. Чибисов
С. П. Громов 1, 2 *
С. П. Громов
Published 2025-12-10
Share
Cite this
GOST
 | 
Cite this
GOST Copy
Фомина М. В. et al. Бис(аза-18-краун-6)содержащий дибензилиденциклобутанон: строение и фотоника его супрамолекулярных комплексов с ионами алкандиаммония // Russian Chemical Bulletin. 2025. Vol. 75. No. 2. pp. 496-513.
GOST all authors (up to 50) Copy
Фомина М. В., Здоровенко И. П., Гутров В. Н., Ведерников А. И., Нуриев В. Н., Ионов Д. С., Махров Д. Е., Чибисов А. К., Громов С. П. Бис(аза-18-краун-6)содержащий дибензилиденциклобутанон: строение и фотоника его супрамолекулярных комплексов с ионами алкандиаммония // Russian Chemical Bulletin. 2025. Vol. 75. No. 2. pp. 496-513.
RIS
 | 
Cite this
RIS Copy
TY - JOUR
UR - https://russchembull.colab.ws/publications/72
TI - Бис(аза-18-краун-6)содержащий дибензилиденциклобутанон: строение и фотоника его супрамолекулярных комплексов с ионами алкандиаммония
T2 - Russian Chemical Bulletin
AU - Фомина, М. В.
AU - Здоровенко, И. П.
AU - Гутров, В. Н.
AU - Ведерников, А. И.
AU - Нуриев, В. Н.
AU - Ионов, Д. С.
AU - Махров, Д. Е.
AU - Чибисов, А. К.
AU - Громов, С. П.
PY - 2025
DA - 2025/12/10
PB - Известия Академии наук. Серия химическая
SP - 496-513
IS - 2
VL - 75
ER -
BibTex
 | 
Cite this
BibTex (up to 50 authors) Copy
@article{2025_Фомина,
author = {М. В. Фомина and И. П. Здоровенко and В. Н. Гутров and А. И. Ведерников and В. Н. Нуриев and Д. С. Ионов and Д. Е. Махров and А. К. Чибисов and С. П. Громов},
title = {Бис(аза-18-краун-6)содержащий дибензилиденциклобутанон: строение и фотоника его супрамолекулярных комплексов с ионами алкандиаммония},
journal = {Russian Chemical Bulletin},
year = {2025},
volume = {75},
publisher = {Известия Академии наук. Серия химическая},
month = {Dec},
url = {https://russchembull.colab.ws/publications/72},
number = {2},
pages = {496--513}
}
MLA
Cite this
MLA Copy
Фомина, М. В., et al. “Бис(аза-18-краун-6)содержащий дибензилиденциклобутанон: строение и фотоника его супрамолекулярных комплексов с ионами алкандиаммония.” Russian Chemical Bulletin, vol. 75, no. 2, Dec. 2025, pp. 496-513. https://russchembull.colab.ws/publications/72.

Keywords

бис(азакраун)содержащие диеноны
водородные связи
импульсный фотолиз
спектроскопия ЯМР
супрамолекулярные комплексы
электронная спектроскопия

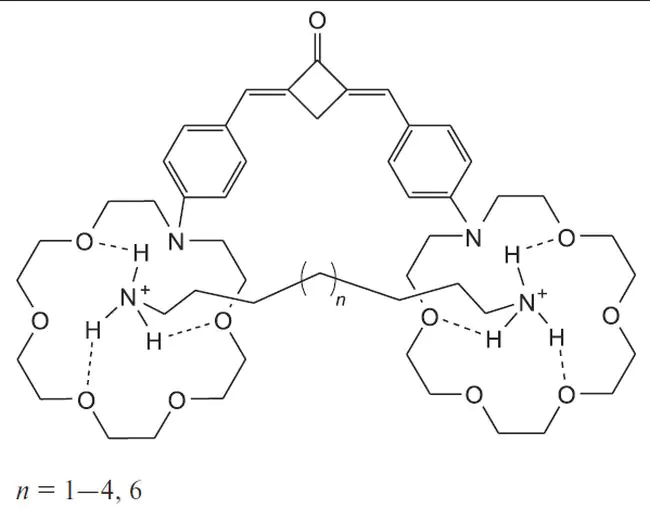
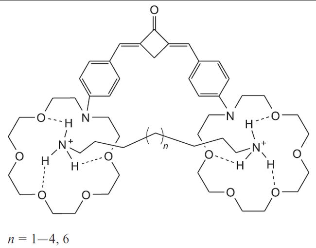
Abstract

Исследованы строение и комплексообразование кросс-сопряженных диенонов (кетоцианиновых красителей) — бис(N-фенилаза-18-краун-6)содержащего и модельного бис(диэтиламино)содержащего дибензилиденциклобутанона с ионами EtNH3+ и 1,ω-алкандиаммония (+H3N(CH2)nNH3+, n = 2—10, 12) — методами спектроскопии ЯМР, абсорбционной, люминесцентной и лазерной кинетической спектроскопии в MeCN. Дитопный бис(азакраун)содержащий диенон и ионы алкандиаммония с короткой полиметиленовой цепью образуют комплексы 1 : 1, 1 : 2 и 2 : 2, тогда как ионы 1,ω-алкандиаммония с длинной полиметиленовой цепью образуют только комплексы 1 : 1 псевдоциклического строения. Исследованы фотофизические свойства комплексов диенонов с указанными ионами аммония. Комплексообразование бис(азакраун)содержащего диенона с ионами +H3N(CH2)nNH3+ (n = 7—10, 12) приводит к увеличению времени жизни триплетного состояния диенона. Получены свидетельства фоторекоординации групп NH3+ в полостях азакраун-эфирных остатков бис(азакраун)содержащего диенона.