Home / Publications / Методы построения [1,2,4]триазоло[1,5-a]пиримидин-7(4H)-онов

Методы построения [1,2,4]триазоло[1,5-a]пиримидин-7(4H)-онов

А. В. Баклыков 1, 2
А. В. Баклыков
М. И. Валиева 1, 2
М. И. Валиева
Е. Д. Ладин 1, 2
Е. Д. Ладин
Д. Н. Ляпустин 2
Д. Н. Ляпустин
Д. С. Копчук 1, 2 *
Д. С. Копчук
Г. В. Зырянов 1, 2
Г. В. Зырянов
В. Л. Русинов 1, 2
В. Л. Русинов
Published 2025-12-10
Share
Cite this
GOST
 | 
Cite this
GOST Copy
Баклыков А. В. et al. Методы построения [1,2,4]триазоло[1,5-a]пиримидин-7(4H)-онов // Russian Chemical Bulletin. 2025. Vol. 75. No. 2. pp. 442-451.
GOST all authors (up to 50) Copy
Баклыков А. В., Валиева М. И., Ладин Е. Д., Ляпустин Д. Н., Копчук Д. С., Зырянов Г. В., Русинов В. Л. Методы построения [1,2,4]триазоло[1,5-a]пиримидин-7(4H)-онов // Russian Chemical Bulletin. 2025. Vol. 75. No. 2. pp. 442-451.
RIS
 | 
Cite this
RIS Copy
TY - JOUR
UR - https://russchembull.colab.ws/publications/67
TI - Методы построения [1,2,4]триазоло[1,5-a]пиримидин-7(4H)-онов
T2 - Russian Chemical Bulletin
AU - Баклыков, А. В.
AU - Валиева, М. И.
AU - Ладин, Е. Д.
AU - Ляпустин, Д. Н.
AU - Копчук, Д. С.
AU - Зырянов, Г. В.
AU - Русинов, В. Л.
PY - 2025
DA - 2025/12/10
PB - Известия Академии наук. Серия химическая
SP - 442-451
IS - 2
VL - 75
ER -
BibTex
 | 
Cite this
BibTex (up to 50 authors) Copy
@article{2025_Баклыков,
author = {А. В. Баклыков and М. И. Валиева and Е. Д. Ладин and Д. Н. Ляпустин and Д. С. Копчук and Г. В. Зырянов and В. Л. Русинов},
title = {Методы построения [1,2,4]триазоло[1,5-a]пиримидин-7(4H)-онов},
journal = {Russian Chemical Bulletin},
year = {2025},
volume = {75},
publisher = {Известия Академии наук. Серия химическая},
month = {Dec},
url = {https://russchembull.colab.ws/publications/67},
number = {2},
pages = {442--451}
}
MLA
Cite this
MLA Copy
Баклыков, А. В., et al. “Методы построения [1,2,4]триазоло[1,5-a]пиримидин-7(4H)-онов.” Russian Chemical Bulletin, vol. 75, no. 2, Dec. 2025, pp. 442-451. https://russchembull.colab.ws/publications/67.

Keywords

[1,2,4]триазоло[1,5-a]пиримидины
2,3-диаминопиримидин-4(3Н)-оны
3-амино-1,2,4-триазолы
биологическая активность
гетероциклизация
Триазид®

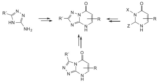
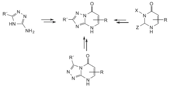
Abstract

Настоящий обзор посвящен основным методам получения [1,2,4]триазоло[1,5-a]пиримидин-7(4H)-онов (гетероциклической основы противовирусного препарата Триазид®) — перспективной модели для создания новых аналогов, проявляющих различные виды биологической активности, в частности, в отношении коронавирусной инфекции. В обзоре рассмотрены основные подходы к синтезу триазолопиримидинонов, разработанные за последние 20 лет, к которым относятся достройка пиримидинового цикла к триазольному, достройка триазольного цикла к пиримидиновому, а также построение [1,2,4]триазоло[1,5-a]пиримидинового фрагмента путем трансформации других гетероциклических систем.