Home / Publications / Региоселективный синтез гетероантеннарных производных желчных кислот — предшественников систем направленной доставки лекарств

Региоселективный синтез гетероантеннарных производных желчных кислот — предшественников систем направленной доставки лекарств

Ю. Р. Павлей 1 *
Ю. Р. Павлей
Э. Ю. Ямансаров 2
Э. Ю. Ямансаров
Д. А. Скворцов 1
Д. А. Скворцов
Д. А. Ипатова 1
Д. А. Ипатова
С. А. Евтеев 3
С. А. Евтеев
Н. В. Зык 1
Н. В. Зык
У. Г. Алексеечкина 4
У. Г. Алексеечкина
Р. В. Гроссман 1
Р. В. Гроссман
Е. К. Белоглазкина 1
Е. К. Белоглазкина
Published 2025-12-10
Share
Cite this
GOST
 | 
Cite this
GOST Copy
Павлей Ю. Р. et al. Региоселективный синтез гетероантеннарных производных желчных кислот — предшественников систем направленной доставки лекарств // Russian Chemical Bulletin. 2025. Vol. 75. No. 1. pp. 348-366.
GOST all authors (up to 50) Copy
Павлей Ю. Р., Ямансаров Э. Ю., Скворцов Д. А., Ипатова Д. А., Евтеев С. А., Зык Н. В., Алексеечкина У. Г., Гроссман Р. В., Белоглазкина Е. К. Региоселективный синтез гетероантеннарных производных желчных кислот — предшественников систем направленной доставки лекарств // Russian Chemical Bulletin. 2025. Vol. 75. No. 1. pp. 348-366.
RIS
 | 
Cite this
RIS Copy
TY - JOUR
UR - https://russchembull.colab.ws/publications/61
TI - Региоселективный синтез гетероантеннарных производных желчных кислот — предшественников систем направленной доставки лекарств
T2 - Russian Chemical Bulletin
AU - Павлей, Ю. Р.
AU - Ямансаров, Э. Ю.
AU - Скворцов, Д. А.
AU - Ипатова, Д. А.
AU - Евтеев, С. А.
AU - Зык, Н. В.
AU - Алексеечкина, У. Г.
AU - Гроссман, Р. В.
AU - Белоглазкина, Е. К.
PY - 2025
DA - 2025/12/10
PB - Известия Академии наук. Серия химическая
SP - 348-366
IS - 1
VL - 75
ER -
BibTex
 | 
Cite this
BibTex (up to 50 authors) Copy
@article{2025_Павлей,
author = {Ю. Р. Павлей and Э. Ю. Ямансаров and Д. А. Скворцов and Д. А. Ипатова and С. А. Евтеев and Н. В. Зык and У. Г. Алексеечкина and Р. В. Гроссман and Е. К. Белоглазкина},
title = {Региоселективный синтез гетероантеннарных производных желчных кислот — предшественников систем направленной доставки лекарств},
journal = {Russian Chemical Bulletin},
year = {2025},
volume = {75},
publisher = {Известия Академии наук. Серия химическая},
month = {Dec},
url = {https://russchembull.colab.ws/publications/61},
number = {1},
pages = {348--366}
}
MLA
Cite this
MLA Copy
Павлей, Ю. Р., et al. “Региоселективный синтез гетероантеннарных производных желчных кислот — предшественников систем направленной доставки лекарств.” Russian Chemical Bulletin, vol. 75, no. 1, Dec. 2025, pp. 348-366. https://russchembull.colab.ws/publications/61.

Keywords

Алкины
амфифильность
дезоксихолевая кислота
желчные кислоты
региоселективное ацилирование
стероиды
холевая кислота
цитотоксичность
этерификация

Abstract

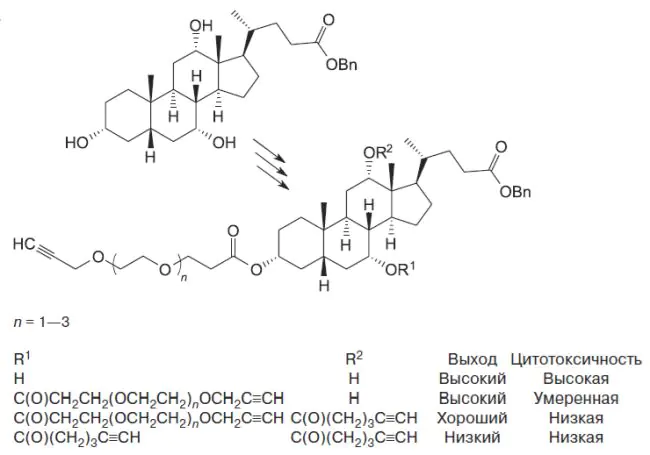
Осуществлен региоселективный синтез гетероантеннарных ацетиленовых производных желчных кислот, содержащих в разных положениях стероидного скелета гекс-5-иноильные, 4,7,10,13-тетраоксагексадец-15-иноильные, 4,7,10-триоксатридец-12-иноильные и 4,7-диоксадец-9-иноильные фрагменты. Исследованы цитотоксические свойства указанных соединений в отношении клеточных линий эмбриональных почек человека HEK293T, фибробластов легких человека VA13, рака груди MCF7 и рака легких A549. Рассчитаны физико-химические параметры синтезированных производных желчных кислот, позволяющие оценить их полярность, общую липофильность и растворимость в воде (TPSA, logP, logS). Установлена корреляция между химическим поведением синтезированных соединений в реакциях этерификации и их биологической активностью. Проведена оценка возможности использования гетероантеннарных продуктов для получения мультивалентных тканеспецифических лигандов и систем направленной доставки лекарств на их основе.

References

1.
Physiology and Physical Chemistry of Bile Acids
di Gregorio M.C., Cautela J., Galantini L.
International Journal of Molecular Sciences, 2021
3.
Bile Acids as Regulators of Hepatic Lipid and Glucose Metabolism
Trauner M., Claudel T., Fickert P., Moustafa T., Wagner M.
Digestive Diseases, 2010
6.
The Immunomodulatory Role of Bile Acids
Sipka S., Bruckner G.
International Archives of Allergy and Immunology, 2014
7.
Bile Acid Signaling in Liver Metabolism and Diseases
8.
Metabolic Messengers: bile acids
Perino A., Schoonjans K.
Nature Metabolism, 2022
9.
Role of bile acids and their receptors in gastrointestinal and hepatic pathophysiology
Fuchs C.D., Trauner M.
Nature Reviews Gastroenterology and Hepatology, 2022
10.
Role of Bile Acids and Bile Acid Receptors in Metabolic Regulation
Lefebvre P., Cariou B., Lien F., Kuipers F., Staels B.
Physiological Reviews, 2009
11.
The role of bile acids in metabolic regulation
Vítek L., Haluzík M.
Journal of Endocrinology, 2016
12.
Role of Bile Acids in Metabolic Control
Molinaro A., Wahlström A., Marschall H.
Trends in Endocrinology and Metabolism, 2018
13.
Bile acids and bile acid derivatives: use in drug delivery systems and as therapeutic agents
Faustino C., Serafim C., Rijo P., Reis C.P.
Expert Opinion on Drug Delivery, 2016
14.
Bile Acids and Their Derivatives as Potential Modifiers of Drug Release and Pharmacokinetic Profiles
Pavlović N., Goločorbin-Kon S., Ðanić M., Stanimirov B., Al-Salami H., Stankov K., Mikov M.
Frontiers in Pharmacology, 2018
16.
Increased Acyclovir Oral Bioavailability via a Bile Acid Conjugate
Tolle-Sander S., Lentz K.A., Maeda D.Y., Coop A., Polli J.E.
Molecular Pharmaceutics, 2003
17.
Synthesis and Biological Properties of Insulin−Deoxycholic Acid Chemical Conjugates
Lee S., Kim K., Kumar T.S., Lee J., Kim S.K., Lee D.Y., Lee Y., Byun Y.
Bioconjugate Chemistry, 2005
18.
Proapoptotic Effect on Normal and Tumor Intestinal Cells of Cytostatic Drugs with Enterohepatic Organotropism
Monte M.J., Ballestero M.R., Briz O., Perez M.J., Marin J.J.
Journal of Pharmacology and Experimental Therapeutics, 2005
19.
Usefulness of Liposomes Loaded with Cytostatic Bile Acid Derivatives to Circumvent Chemotherapy Resistance of Enterohepatic Tumors
Briz O., Macias R.I., Vallejo M., Silva A., Serrano M.A., Marin J.J.
Molecular Pharmacology, 2003
22.
Synthetic Multivalent Ligands as Probes of Signal Transduction
Kiessling L.L., Gestwicki J.E., Strong L.E.
Angewandte Chemie - International Edition, 2006
24.
Influencing Receptor−Ligand Binding Mechanisms with Multivalent Ligand Architecture
Gestwicki J.E., Cairo C.W., Strong L.E., Oetjen K.A., Kiessling L.L.
Journal of the American Chemical Society, 2002
25.
Investigation of new acyloxy derivatives of cholic acid and their esters as drug absorption modifiers
Mrózek L., Dvořáková L., Mandelová Z., Rárová L., Řezáčová A., Plaček L., Opatřilová R., Dohnal J., Paleta O., Král V., Drašar P., Jampílek J.
Steroids, 2011
26.
New propanoyloxy derivatives of 5β-cholan-24-oic acid as drug absorption modifiers
Coufalová L., Mrózek L., Rárová L., Plaček L., Opatřilová R., Dohnal J., Král’ová K., Paleta O., Král V., Drašar P., Jampílek J.
Steroids, 2013
27.
New acetylenic derivatives of bile acids as versatile precursors for the preparation of prodrugs. Synthesis and cytotoxicity study
Pavley Y.R., Yamansarov E.Y., Evteev S.A., Lopatukhina E.V., Zyk N.V., Erofeev A.S., Gorelkin P.V., Beloglazkina E.K.
Russian Chemical Bulletin, 2023
28.
Synthesis of cholesterol-based neoglycoconjugates and their use in the preparation of liposomes for active liver targeting
e Silva A.T., Maia A.L., de Oliveira Silva J., de Barros A.L., Soares D.C., de Magalhães M.T., José Alves R., Ramaldes G.A.
Carbohydrate Research, 2018
29.
Gold Nanoparticles Functionalized with RGD‐Semipeptides: A Simple yet Highly Effective Targeting System for αVβ3Integrins
Maggi V., Bianchini F., Portioli E., Peppicelli S., Lulli M., Bani D., Del Sole R., Zanardi F., Sartori A., Fiammengo R.
Chemistry - A European Journal, 2018
30.
Site-Selective Antibody Functionalization via Orthogonally Reactive Arginine and Lysine Residues
Hwang D., Nilchan N., Nanna A.R., Li X., Cameron M.D., Roush W.R., Park H., Rader C.
Cell Chemical Biology, 2019
31.
Design, Synthesis, and Evaluation of Novel 1,2,3-Triazole-Tethered Glycolipids as Vaccine Adjuvants
Bhunia D., Pallavi P.M., Bonam S.R., Reddy S.A., Verma Y., Halmuthur M.S.
Archiv der Pharmazie, 2015
32.
Recent Advances in Biomedical Applications of Cholic Acid-Based Macromolecules
Sahoo S., Ghosh P., Banerjee S., De P.
ACS Applied Polymer Materials, 2021
33.
Aggregation Behavior of Pegylated Bile Acid Derivatives
Le Dévédec F., Fuentealba D., Strandman S., Bohne C., Zhu X.X.
Langmuir, 2012
34.
Self-Assembly of Bile Acid–PEG Conjugates in Aqueous Solutions
Strandman S., Le Dévédec F., Zhu X.X.
Journal of Physical Chemistry B, 2012
35.
PEGylated Bile Acids for Use in Drug Delivery Systems: Enhanced Solubility and Bioavailability of Itraconazole
Le Dévédec F., Strandman S., Hildgen P., Leclair G., Zhu X.X.
Molecular Pharmaceutics, 2013
38.
Discovery of Bivalent GalNAc-Conjugated Betulin as a Potent ASGPR-Directed Agent against Hepatocellular Carcinoma
Yamansarov E.Y., Lopatukhina E.V., Evteev S.A., Skvortsov D.A., Lopukhov A.V., Kovalev S.V., Vaneev A.N., Shkil’ D.O., Akasov R.A., Lobov A.N., Naumenko V.A., Pavlova E.N., Ryabaya O.O., Burenina O.Y., Ivanenkov Y.A., et. al.
Bioconjugate Chemistry, 2021
39.
Synthesis and Evaluation of New Trivalent Ligands for Hepatocyte Targeting via the Asialoglycoprotein Receptor
Reshitko G.S., Yamansarov E.Y., Evteev S.A., Lopatukhina E.V., Shkil’ D.O., Saltykova I.V., Lopukhov A.V., Kovalev S.V., Lobov A.N., Kislyakov I.V., Burenina O.Y., Klyachko N.L., Garanina A.S., Dontsova O.A., Ivanenkov Y.A., et. al.
Bioconjugate Chemistry, 2020
40.
Open Babel: An open chemical toolbox
O'Boyle N.M., Banck M., James C.A., Morley C., Vandermeersch T., Hutchison G.R.
Journal of Cheminformatics, 2011
41.
Revisiting the General Solubility Equation: In Silico Prediction of Aqueous Solubility Incorporating the Effect of Topographical Polar Surface Area
Ali J., Camilleri P., Brown M.B., Hutt A.J., Kirton S.B.
Journal of Chemical Information and Modeling, 2012