Home / Publications / Синтез функционализированных моно- и бисфосфорсодержащих метиламинов на основе аминоацеталей и их аналогов

Синтез функционализированных моно- и бисфосфорсодержащих метиламинов на основе аминоацеталей и их аналогов

Ю. Н. Бубнов 1, 2
Ю. Н. Бубнов
А. А. Прищенко 1
А. А. Прищенко
М. В. Ливанцов 3
М. В. Ливанцов
О. П. Новикова 3
О. П. Новикова
Л. И. Ливанцова 3
Л. И. Ливанцова
С. В. Баранин 1 *
С. В. Баранин
Published 2025-12-10
Share
Cite this
GOST
 | 
Cite this
GOST Copy
Бубнов Ю. Н. et al. Синтез функционализированных моно- и бисфосфорсодержащих метиламинов на основе аминоацеталей и их аналогов // Russian Chemical Bulletin. 2025. Vol. 75. No. 1. pp. 306-321.
GOST all authors (up to 50) Copy
Бубнов Ю. Н., Прищенко А. А., Ливанцов М. В., Новикова О. П., Ливанцова Л. И., Баранин С. В. Синтез функционализированных моно- и бисфосфорсодержащих метиламинов на основе аминоацеталей и их аналогов // Russian Chemical Bulletin. 2025. Vol. 75. No. 1. pp. 306-321.
RIS
 | 
Cite this
RIS Copy
TY - JOUR
UR - https://russchembull.colab.ws/publications/58
TI - Синтез функционализированных моно- и бисфосфорсодержащих метиламинов на основе аминоацеталей и их аналогов
T2 - Russian Chemical Bulletin
AU - Бубнов, Ю. Н.
AU - Прищенко, А. А.
AU - Ливанцов, М. В.
AU - Новикова, О. П.
AU - Ливанцова, Л. И.
AU - Баранин, С. В.
PY - 2025
DA - 2025/12/10
PB - Известия Академии наук. Серия химическая
SP - 306-321
IS - 1
VL - 75
ER -
BibTex
 | 
Cite this
BibTex (up to 50 authors) Copy
@article{2025_Бубнов,
author = {Ю. Н. Бубнов and А. А. Прищенко and М. В. Ливанцов and О. П. Новикова and Л. И. Ливанцова and С. В. Баранин},
title = {Синтез функционализированных моно- и бисфосфорсодержащих метиламинов на основе аминоацеталей и их аналогов},
journal = {Russian Chemical Bulletin},
year = {2025},
volume = {75},
publisher = {Известия Академии наук. Серия химическая},
month = {Dec},
url = {https://russchembull.colab.ws/publications/58},
number = {1},
pages = {306--321}
}
MLA
Cite this
MLA Copy
Бубнов, Ю. Н., et al. “Синтез функционализированных моно- и бисфосфорсодержащих метиламинов на основе аминоацеталей и их аналогов.” Russian Chemical Bulletin, vol. 75, no. 1, Dec. 2025, pp. 306-321. https://russchembull.colab.ws/publications/58.

Keywords

аминоацетали
аминометилирование
биологически активные вещества
бис(триметилсилокси)фосфин
дибутоксифосфин
диэтил(пивалоил)фосфонит
диэтил(триметилсилил)фосфит
диэтилфосфит
полидентатные лиганды

Abstract

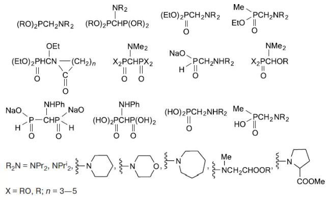
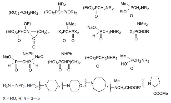
Разработаны удобные методы синтеза функционализированных моно- и бисфосфорсодержащих метиламинов и их производных, включающих фрагменты P—C—N и P—C(N)—P на основе аминоацеталей и их аналогов. Ваимодействие диалкоксифосфинов, диэтил(пивалоил)фосфонита, диэтилфосфита либо триметилсилиловых эфиров кислот трехвалентного фосфора с моно- и бисалкоксиметиламинами при катализе хлоридом цинка или эфиратом трехфтористого бора приводит к целевым продуктам с высокими выходами. Полученные вещества — функционализированные моно- и бисфосфорсодержащие метиламины — являются структурными аналогами аминокарбоновых кислот и природных пирофосфатов и могут представлять интерес как перспективные биологически активные вещества, водорастворимые полидентатные лиганды и эффективные экстрагенты.

References

2.
V. P. Kukhar, H. R. Hudson, Aminophosphonic and Aminophosphinic Acids. Chemistry and Biological Activity, Wiley, New York, USA, 2000, 634
5.
D. E. C. Corbridge, Phosphorus: Chemistry, Biochemistry and Technology, CRC Press, New York, 2016, 1473
6.
Aminoalkyl Organophosphorus Compounds
Petrov K.A., Chauzov V.A., Erokhina T.S.
Russian Chemical Reviews, 1974
9.
The relationship between the chemistry and biological activity of the bisphosphonates
Ebetino F.H., Hogan A.L., Sun S., Tsoumpra M.K., Duan X., Triffitt J.T., Kwaasi A.A., Dunford J.E., Barnett B.L., Oppermann U., Lundy M.W., Boyde A., Kashemirov B.A., McKenna C.E., Russell R.G., et. al.
Bone, 2011
10.
Synthesis of N-(phosphonomethyl)glycine derivatives and studies of their immunotropic activity
Shevchuk M.V., Metelitsa L.A., Charochkina L.L., Mogilevich S.E., Rusanov E.B., Sorochinsky A.E., Khilya V.P., Romanenko V.D., Kukhar V.P.
Russian Chemical Bulletin, 2011
11.
Studies on Novel Bone Resorption Inhibitors. I. Synthesis and Pharmacological Activites of Aminomethylenebisphosphonate Derivatives.
TAKEUCHI M., SAKAMOTO S., YOSHIDA M., ABE T., ISOMURA Y.
Chemical and Pharmaceutical Bulletin, 2011
13.
Amino-Substituted GEM-Bisphosphonates
Widler L., Jaeggi K.A., Green J.R.
Phosphorus, Sulfur and Silicon and the Related Elements, 1999
14.
Recent Advances in the Research on Herbicidally Active Aminomethylenebisphosphonic Acids
Kafarski P., Lejczak B., Forlani G., Chuiko A.L., Lozinsky M.O., Jasicka-Misiak I., Czekaza K., Lipok J.
Phosphorus, Sulfur and Silicon and the Related Elements, 1999
15.
Activity of Bisphosphonates against Trypanosoma brucei rhodesiense
Martin M.B., Sanders J.M., Kendrick H., de Luca-Fradley K., Lewis J.C., Grimley J.S., Van Brussel E.M., Olsen J.R., Meints G.A., Burzynska A., Kafarski P., Croft S.L., Oldfield E.
Journal of Medicinal Chemistry, 2002
17.
Ab initiocomputational studies on molecular conformation of N-methyl-glyphosate
KALIANNAN P., NASEER ALI M.M., VENUVANALINGAM P.
Molecular Physics, 2003
20.
Zn2[(S)-O3PCH2NHC4H7CO2]2: A Homochiral 3D Zinc Phosphonate with Helical Channels
Shi X., Zhu G., Qiu S., Huang K., Yu J., Xu R.
Angewandte Chemie - International Edition, 2004
24.
Synthesis, characterized, QSAR studies and molecular docking of some phosphonates as COVID-19 inhibitors
Gholivand K., Barzegari A., Mohammadpanah F., Yaghoubi R., Roohzadeh R., Ebrahimi Valmoozi A.A.
Polyhedron, 2022
26.
M. Regitz, Methoden der Organischen Chemie (Houben-Weil), Georg Thieme Verlag: Stuttgart, 1982, E1, 606
27.
Э. Е. Нифантьев, Химия гидрофосфорильных соединений, Наука, Москва, 1983, 264 с
31.
И. Ф. Луценко, М. В. Проскурнина, А. А. Борисенко, Докл. АН СССР, 1970, 193, 828
32.
UNUSUAL DIRECTION OF THE ARBUZOV REACTION OF DIALKOXYMETHYLPHOSPHONITES AND THEIR ANALOGUES
Lutsenko I.F., Prishchenko A.A., Livantsov M.V.
Phosphorous and Sulfur and the Related Elements, 1988
33.
Synthesis and reactivity of substituted α-carbonylphosphonites and their derivatives
Prishchenko A.A., Livantsov M.V., Novikova O.P., Livantsova L.I., Petrosyan V.S.
Heteroatom Chemistry, 2012
34.
Г. Хильгетаг, А. Мартини, Вейганд-Хильгетаг, Методы эксперимента в органической химии. Химия, Москва, 1968, 944 с. [G. Hilgetag, A. Martini, Weygand-Hilgetag. Organisch-Chemische Experimentierkunst. Johann Ambrosius Barth Verlag, Leipzig, 1964, 944 p.]
35.
В. Г. Граник, Ацетали амидов и лактамов, Вузовская книга, Москва, 2008, 584
36.
A. Б. Колдобский, В. Е. Вахмистров, Е. В. Солодова, О. С. Шилова, В.Н. Калинин, Докл. АН СССР, 2002, 387, 61
37.
А. А. Прищенко, М. В. Ливанцов, Д. А. Писарницкий, В. С. Петросян, Журн. общей химии, 1993, 63, 2020
38.
А. А. Прищенко, М. В. Ливанцов, В. С. Петросян, Журн. общей химии, 1993, 63, 1902
39.
А. А. Прищенко, О. П. Новикова, М. В. Ливанцов, Е. В. Григорьев, Журн. общей химии, 1995, 65, 1747
40.
Synthesis of lactam-containing amido(ethoxy)methylphosphonates [5]
Livantsov M.V., Prishchenko A.A., Novikova O.P., Livantsova L.I., Koval' Y.N., Krut'ko D.P.
Russian Journal of General Chemistry, 2004
41.
Bis(trimethylsiloxy)phosphine as key synthon for synthesis of new aminomethylphosphinic acids with N-alkyl 4-hydroxypiperidines moieties
Prishchenko A.A., Alekseyev R.S., Livantsov M.V., Novikova O.P., Livantsova L.I., Petrosyan V.S.
Inorganica Chimica Acta, 2019
42.
New functionalized derivatives of mono- and diphosphonic acids substituted with five-membered nitrogen heterocycles
Prishchenko A.A., Livantsov M.V., Novikova O.P., Livantsova L.I., Alekseyev R.S., Terenin V.I., Petrosyan V.S.
Russian Chemical Bulletin, 2017
43.
Tris(trimethylsilyl) phosphite as key synthon for convenient synthesis of new organosilicon(phosphorus)-containing N-heterocycles
Prishchenko A.A., Alekseyev R.S., Livantsov M.V., Novikova O.P., Livantsova L.I., Petrosyan V.S.
Journal of Organometallic Chemistry, 2018
44.
Synthesis of new functionalized aryl and pyridyl aminomethylenebisphosphonic acids and their derivatives via silicon-assisted methodology
Prishchenko A.A., Alekseyev R.S., Livantsov M.V., Novikova O.P., Livantsova L.I., Petrosyan V.S.
Journal of Organometallic Chemistry, 2020
45.
Silicon-assisted synthesis of new aminomethylenebisphosphonic acids with quinolines moieties
Prishchenko A.A., Alekseyev R.S., Livantsov M.V., Novikova O.P., Livantsova L.I., Petrosyan V.S.
Journal of Organometallic Chemistry, 2020
46.
A convenient catalytic silicon-assisted route towards new non-proteinogenic amino acids with methylenebisphosphonic acids moieties
Prishchenko A.A., Alekseyev R.S., Livantsov M.V., Novikova O.P., Livantsova L.I., Petrosyan V.S.
Journal of Organometallic Chemistry, 2021
47.
Catalytic N-diphosphonomethylation of amino alkanols and bisamino alkanes using tris(trimethylsilyl) phosphite as a convenient synthon
Prishchenko A.A., Alekseyev R.S., Novikova O.P., Livantsov M.V., Livantsova L.I., Petrosyan V.S.
Journal of Organometallic Chemistry, 2022
48.
Organosilicon based synthesis of new functionalized aminomethylenediphosphonates with moieties of amino acids
Prishchenko A.A., Alekseyev R.S., Livantsov M.V., Novikova O.P., Livantsova L.I., Petrosyan V.S.
Journal of Organometallic Chemistry, 2018
49.
Imine-based synthesis of functionalized phosphorus-containing carboxamides
Bubnov Y.N., Prishchenko A.A., Livantsov M.V., Novikova O.P., Livantsova L.I., Baranin S.V.
Russian Chemical Bulletin, 2025
50.
Oxirane-based synthesis of functionalized derivatives of 2-hydroxyalkyl-substituted organophosphorus acids
Bubnov Y.N., Prishchenko A.A., Livantsov M.V., Novikova O.P., Livantsova L.I., Baranin S.V.
Russian Chemical Bulletin, 2025
51.
N,N′,N″-Trisubstituted hexahydro-1,3,5-triazine-based synthesis of mono- and diphosphorus-containing amino acids
Bubnov Y.N., Prishchenko A.A., Livantsov M.V., Novikova O.P., Livantsova L.I., Baranin S.V.
Russian Chemical Bulletin, 2025
52.
Synthesis and functionalization of P(O)CH2NH- and P(O)CH2NSi-containing amines
Bubnov Y.N., Prishchenko A.A., Livantsov M.V., Novikova O.P., Livantsova L.I., Baranin S.V.
Russian Chemical Bulletin, 2025
53.
Synthesis of functionalized hydroxymethylene-containing bisorganophosphorus acids
Bubnov Y.N., Prishchenko A.A., Livantsov M.V., Novikova O.P., Livantsova L.I., Baranin S.V.
Russian Chemical Bulletin, 2024
54.
И. Ф. Луценко, А. А. Прищенко, М. В. Ливанцов, Докл. АН СССР, 1987, 295, 884
55.
New Types of Functionally Substituted Methylphosphonites and Their Derivatives
Prishchenko A.A., Livantsov M.V., Lutsenko I.F.
Phosphorus, Sulfur and Silicon and the Related Elements, 1990
56.
New Types of Functionally Substituted Cyclic Phosphoranes
Prishchenko A.A., Livantsov M.V., Petrosyan V.S.
Phosphorus, Sulfur and Silicon and the Related Elements, 1992
57.
А. А. Прищенко, М. В. Ливанцов, В. С. Петросян, Журн. общей химии, 1994, 64, 1316
59.
(O-Si)-Chelate acetic and benzoic acid N-(fluorosilylmethyl)amides: synthesis and structure
Soldatenko A.S., Sterkhova I.V., Lazareva N.F.
Russian Chemical Bulletin, 2022
60.
В. М. Потапов, Стереохимия, Химия, Москва, 1976, 695 с.