Home / Publications / N-Cульфоалкилированные лактамы: синтез, строение и биологическая активность

N-Cульфоалкилированные лактамы: синтез, строение и биологическая активность

М. А. Рудакова 1
М. А. Рудакова
Е. П. Крамарова 1
Е. П. Крамарова
Д. В. Тарасенко 1
Д. В. Тарасенко
А. А. Корлюков 2
А. А. Корлюков
А. Д. Шагина 1
А. Д. Шагина
А. А. Лагунин 1
А. А. Лагунин
Н. Ю. Карпеченко 1
Н. Ю. Карпеченко
Д. И. Гончар 1
Д. И. Гончар
Ю. И. Бауков 1
Ю. И. Бауков
Т. А. Шмиголь 1
Т. А. Шмиголь
Вад. В. Негребецкий 1 *
Вад. В. Негребецкий
Published 2025-12-10
Share
Cite this
GOST
 | 
Cite this
GOST Copy
Рудакова М. А. et al. N-Cульфоалкилированные лактамы: синтез, строение и биологическая активность // Russian Chemical Bulletin. 2025. Vol. 75. No. 1. pp. 296-305.
GOST all authors (up to 50) Copy
Рудакова М. А., Крамарова Е. П., Тарасенко Д. В., Корлюков А. А., Шагина А. Д., Лагунин А. А., Карпеченко Н. Ю., Гончар Д. И., Бауков Ю. И., Шмиголь Т. А., Негребецкий В. В. N-Cульфоалкилированные лактамы: синтез, строение и биологическая активность // Russian Chemical Bulletin. 2025. Vol. 75. No. 1. pp. 296-305.
RIS
 | 
Cite this
RIS Copy
TY - JOUR
UR - https://russchembull.colab.ws/publications/57
TI - N-Cульфоалкилированные лактамы: синтез, строение и биологическая активность
T2 - Russian Chemical Bulletin
AU - Рудакова, М. А.
AU - Крамарова, Е. П.
AU - Тарасенко, Д. В.
AU - Корлюков, А. А.
AU - Шагина, А. Д.
AU - Лагунин, А. А.
AU - Карпеченко, Н. Ю.
AU - Гончар, Д. И.
AU - Бауков, Ю. И.
AU - Шмиголь, Т. А.
AU - Негребецкий, Вад. В.
PY - 2025
DA - 2025/12/10
PB - Известия Академии наук. Серия химическая
SP - 296-305
IS - 1
VL - 75
ER -
BibTex
 | 
Cite this
BibTex (up to 50 authors) Copy
@article{2025_Рудакова,
author = {М. А. Рудакова and Е. П. Крамарова and Д. В. Тарасенко and А. А. Корлюков and А. Д. Шагина and А. А. Лагунин and Н. Ю. Карпеченко and Д. И. Гончар and Ю. И. Бауков and Т. А. Шмиголь and Вад. В. Негребецкий},
title = {N-Cульфоалкилированные лактамы: синтез, строение и биологическая активность},
journal = {Russian Chemical Bulletin},
year = {2025},
volume = {75},
publisher = {Известия Академии наук. Серия химическая},
month = {Dec},
url = {https://russchembull.colab.ws/publications/57},
number = {1},
pages = {296--305}
}
MLA
Cite this
MLA Copy
Рудакова, М. А., et al. “N-Cульфоалкилированные лактамы: синтез, строение и биологическая активность.” Russian Chemical Bulletin, vol. 75, no. 1, Dec. 2025, pp. 296-305. https://russchembull.colab.ws/publications/57.

Keywords

in vitro
N-замещенные лактамы
биологическая активность
рентгеноструктурный анализ
синтез
ЯМР- и ИК-спектроскопия

Abstract

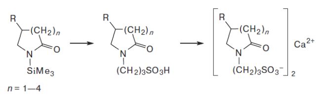
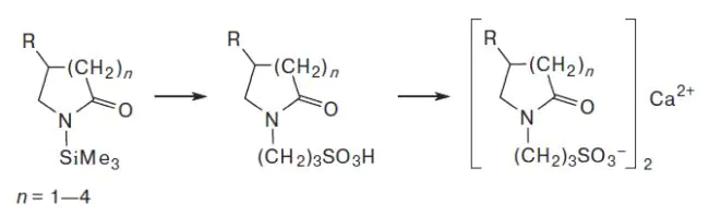
Получен ряд кальциевых солей N-сульфоалкилированных лактамов с различным размером цикла. Структуры новых соединений подтверждены данными ИК- и ЯМР-спектроскопии, элементного и рентгеноструктурного анализа. В рамках исследования оценена цитотоксичность нескольких соединений с помощью МТТ-теста на клеточных линиях A549, MCF7, NKE и Raw 264.7. 3-(2-Оксопиридин-1-ил)пропан-1-сульфонат кальция (11a), 3-(2-оксо-4-фенилпирролидин-1-ил)пропан-1-сульфонат кальция (11b) и 3-(2-оксоазепан-1-ил)пропан-1-сульфонат кальция (11d) не проявили токсического действия в максимальных концентрациях на клеточной
линии Raw 264.7, а соединение 11a — также на NKE. Другие соли показали умеренную токсичность. На основе этих данных выбранные соединения-лидеры (11a,b,d) использованы для оценки противовоспалительной активности. В модели воспаления, вызванной липополисахаридом, соединение 11d продемонстрировало значительное снижение экспрессии IL-1β и COX-2, что свидетельствует о выраженной противовоспалительной активности.

References

1.
The Bioavailability of Drugs—The Current State of Knowledge
Stielow M., Witczyńska A., Kubryń N., Fijałkowski Ł., Nowaczyk J., Nowaczyk A.
Molecules, 2023
2.
γ‐Lactam‐Based Antifungal Compounds against the Wheat Pathogen Zymoseptoria tritici
Damiens A., Dascalu A., Taghi Alebrahim M., Furman C., Lipka E., Ghinet A., Hilbert J., Siah A., Billamboz M.
Chemistry and Biodiversity, 2021
3.
Investigations of antiproliferative and antioxidant activity of β-lactam morpholino-1,3,5-triazine hybrids
Ranjbari S., Behzadi M., Sepehri S., Dadkhah Aseman M., Jarrahpour A., Mohkam M., Ghasemi Y., Reza Akbarizadeh A., Kianpour S., Atioğlu Z., Özdemir N., Akkurt M., Masoud Nabavizadeh S., Turos E.
Bioorganic and Medicinal Chemistry, 2020
4.
Multicomponent Synthesis of Unsaturated γ-Lactam Derivatives. Applications as Antiproliferative Agents through the Bioisosterism Approach: Carbonyl vs. Phosphoryl Group
del Corte X., López-Francés A., Villate-Beitia I., Sainz-Ramos M., Martínez de Marigorta E., Palacios F., Alonso C., de los Santos J.M., Pedraz J.L., Vicario J.
Pharmaceuticals, 2022
5.
A Novel Phenylpyrrolidine Derivative: Synthesis and Effect on Cognitive Functions in Rats with Experimental Ishemic Stroke
Borozdenko D.A., Ezdoglian A.A., Shmigol T.A., Gonchar D.I., Lyakhmun D.N., Tarasenko D.V., Golubev Y.V., Cherkashova E.A., Namestnikova D.D., Gubskiy I.L., Lagunin A.A., Gubsky L.V., Chekhonin V.P., Borisevich S.S., Gureev M.A., et. al.
Molecules, 2021
6.
Stereochemical non-rigidity of complexes of hypercoordinate Group 14 elements
Negrebetsky V.V., Tandura S.N., Baukov Y.I.
Russian Chemical Reviews, 2009
8.
А. Г. Шипов, Е. П. Крамарова, Вад. В. Негребецкий, С. А. Погожих, Ю. И. Бауков, Вестник РГМУ, 2006, 1, 56 [A. G. Shipov, E. P. Kramarova, Vad. V. Negrebetsky, S. A. Pogozhikh, Yu. I. Baukov, Bull. RSMU, 2006, 1, 56
9.
Е. П. Крамарова, А. Г. Шипов, Н. А. Анисимова, Н. А. Орлова, О. Б. Артамкина, И. Ю. Белавин, Ю. И. Бауков, Журн. орган. химии, 1988, 58, 1093 [E. P. Kramarova, A. P. Shipov, N. A. Аnisimova, N. A. Orlova, O. B. Artamkina, I. Yu. Belavin, Yu. I. Baukov, J. Gen. Chem. USSR, 1988, 58, 1093
10.
А. Г. Шипов, Е. А. Желтоногова, В. П. Кобзарева, Н. А. Орлова, Ю. И. Бауков, Журн. орган. химии, 1991, 61, 2308 [A. G. Shipov, E. A. Zheltonogova, V. P. Kobzareva, N. A. Orlova, Yu. I. Baukov, J. Gen. Chem. USSR, 1991, 61, 2142
11.
N-Alkylation of N-trimethylsilyl derivatives of lactams, amides, and imides with alkyl sulfonates
Shagina A.D., Kramarova E.P., Shipov A.G., Tarasenko D.V., Negrebetsky V.V., Baukov Y.I.
Russian Chemical Bulletin, 2020
12.
Substituted N-phenoxyacetyltaurates: synthesis, structural features, and biological activity
Gonchar D.I., Kramarova E.P., Shmigol T.A., Tarasenko D.V., Korlykov A.A., Lagunin A.A., Karpechenko N.Y., Kiseleva N.M., Baukov Y.I., Negrebetsky V.V.
Russian Chemical Bulletin, 2025
13.
E. E. Gilbert, Interscience Publishers, 1965, 530
14.
Advances in Drug Design Based on the Amino Acid Approach: Taurine Analogues for the Treatment of CNS Diseases
Chung M., Malatesta P., Bosquesi P., Yamasaki P., Santos J.L., Vizioli E.
Pharmaceuticals, 2012
15.
Reaction of alkyl(aryl) chlorosilanes and ?, ?-dichloromethylsiloxanes with ?-caprolactam and ?-pyrrolidone
Andrianov K.A., Nogaideli A.I., Akhobadze D.S., Khananashvili L.M., Tkeshelashvili R.S.
Russian Chemical Bulletin, 1972
16.
Silyl-proton exchange reactions
Klebe J.F.
Accounts of Chemical Research, 1970
19.
(Amidomethyl)dimethylsilanol hydrohalides: Synthesis, NMR and IR studies. Characteristic features of the electronic structure from high-resolution X-ray study and quantum chemical calculation
Korlyukov A.A., Pogozhikh S.A., Ovchinnikov Y.E., Lyssenko K.A., Antipin M.Y., Shipov A.G., Zamyshlyaeva O.A., Kramarova E.P., Negrebetsky V.V., Yakovlev I.P., Baukov Y.I.
Journal of Organometallic Chemistry, 2006
20.
Synthesis, Structure and Electrochemical Properties of Acetamide- and Caprolactam-Containing Silicon Catecholates
Kramarova E.P., Volodin A.D., Negrebetsky V.V., Shagina A.D., Aliev T.M., Dorovatovskii P.V., Novikov R.A., Vologzhanina A.V., Korlyukov A.A.
Molecules, 2021
21.
Bruker. APEX3, RLATT, CELL_NOW, TWINABS, SAINT-Plus and SADABS. Bruker AXS Inc., Madison, Wisconsin, USA, 2016. https://www.bruker.com/en/products-and-solutions.html
22.
SHELXT– Integrated space-group and crystal-structure determination
Sheldrick G.M.
Acta Crystallographica Section A: Foundations and Advances, 2015
23.
Crystal structure refinement withSHELXL
Sheldrick G.M.
Acta crystallographica. Section C, Structural chemistry, 2015
24.
OLEX2: a complete structure solution, refinement and analysis program
Dolomanov O.V., Bourhis L.J., Gildea R.J., Howard J.A., Puschmann H.
Journal of Applied Crystallography, 2009