Home / Publications / Неожиданный результат гетероциклизации в условиях реакции Торпа—Циглера с участием N-[(3-цианохинолин-2-ил)тио]ацетилфенотиазинов под действием KOH—MeOH

Неожиданный результат гетероциклизации в условиях реакции Торпа—Циглера с участием N-[(3-цианохинолин-2-ил)тио]ацетилфенотиазинов под действием KOH—MeOH

Вл. К. Киндоп 1
Вл. К. Киндоп
В. К. Киндоп 1
В. К. Киндоп
В. В. Доценко 1, 2 *
В. В. Доценко
Д. Ю. Лукина 1
Д. Ю. Лукина
Н. А. Аксенов 2
Н. А. Аксенов
И. В. Аксенова 2
И. В. Аксенова
Published 2025-12-10
Share
Cite this
GOST
 | 
Cite this
GOST Copy
Киндоп В. К. et al. Неожиданный результат гетероциклизации в условиях реакции Торпа—Циглера с участием N-[(3-цианохинолин-2-ил)тио]ацетилфенотиазинов под действием KOH—MeOH // Russian Chemical Bulletin. 2025. Vol. 75. No. 1. pp. 268-275.
GOST all authors (up to 50) Copy
Киндоп В. К., Киндоп В. К., Доценко В. В., Лукина Д. Ю., Аксенов Н. А., Аксенова И. В. Неожиданный результат гетероциклизации в условиях реакции Торпа—Циглера с участием N-[(3-цианохинолин-2-ил)тио]ацетилфенотиазинов под действием KOH—MeOH // Russian Chemical Bulletin. 2025. Vol. 75. No. 1. pp. 268-275.
RIS
 | 
Cite this
RIS Copy
TY - JOUR
UR - https://russchembull.colab.ws/publications/54
TI - Неожиданный результат гетероциклизации в условиях реакции Торпа—Циглера с участием N-[(3-цианохинолин-2-ил)тио]ацетилфенотиазинов под действием KOH—MeOH
T2 - Russian Chemical Bulletin
AU - Киндоп, Вл. К.
AU - Киндоп, В. К.
AU - Доценко, В. В.
AU - Лукина, Д. Ю.
AU - Аксенов, Н. А.
AU - Аксенова, И. В.
PY - 2025
DA - 2025/12/10
PB - Известия Академии наук. Серия химическая
SP - 268-275
IS - 1
VL - 75
ER -
BibTex
 | 
Cite this
BibTex (up to 50 authors) Copy
@article{2025_Киндоп,
author = {Вл. К. Киндоп and В. К. Киндоп and В. В. Доценко and Д. Ю. Лукина and Н. А. Аксенов and И. В. Аксенова},
title = {Неожиданный результат гетероциклизации в условиях реакции Торпа—Циглера с участием N-[(3-цианохинолин-2-ил)тио]ацетилфенотиазинов под действием KOH—MeOH},
journal = {Russian Chemical Bulletin},
year = {2025},
volume = {75},
publisher = {Известия Академии наук. Серия химическая},
month = {Dec},
url = {https://russchembull.colab.ws/publications/54},
number = {1},
pages = {268--275}
}
MLA
Cite this
MLA Copy
Киндоп, Вл. К., et al. “Неожиданный результат гетероциклизации в условиях реакции Торпа—Циглера с участием N-[(3-цианохинолин-2-ил)тио]ацетилфенотиазинов под действием KOH—MeOH.” Russian Chemical Bulletin, vol. 75, no. 1, Dec. 2025, pp. 268-275. https://russchembull.colab.ws/publications/54.

Keywords

3-аминотиено[2,3-b]хинолины
мезоионные соединения
никотинонитрил
реакция Торпа—Циглера
фенотиазин

Abstract

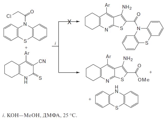
Реакция 10-(хлорацетил)фенотиазина с 4-арил-2-тиоксо-1,2,5,6,7,8-гексагидрохинолин-3-карбонитрилами в ДМФА в мягких условиях (25 °С, 1 ч, КОН—MeOH) приводит к образованию незамещенного фенотиазина и метиловых эфиров 3-амино-4-арил-5,6,7,8-тетрагидротиено[2,3-b]хинолин-2-карбоновой кислоты. Обсуждается возможный механизм реакции. Строение соединений подтверждено данными ИК- и ЯМР-спектроскопии, а также методом рентгеноструктурного анализа.

References

1.
Thienopyridine Analogues
Patel B.Y., Kapadiya K.M.
Advances in Bioinformatics and Biomedical Engineering, 2024
2.
Recent advancements in the synthesis of fused thienopyridines and their therapeutic applications
Shaw R., Tewari R., Yadav M., Pandey E., Tripathi K., Rani J., Althagafi I., Pratap R.
European Journal of Medicinal Chemistry Reports, 2024
4.
Recent advances in the chemistry of thieno[2,3-b]pyridines 1. Methods of synthesis of thieno[2,3-b]pyridines
Dotsenko V.V., Buryi D.S., Lukina D.Y., Krivokolysko S.G.
Russian Chemical Bulletin, 2020
5.
New polyheterocycles derived from pyrano[4,3-b]thieno[3,2-e]pyridine
Dabaeva V.V., Bagdasaryan M.R., Barkhudaryants I.M., Paronikyan E.G., Dashyan S.S.
Russian Chemical Bulletin, 2023
7.
The Chemistry of Thienopyridines
Litvinov V.P., Dotsenko V.V., Krivokolysko S.G.
Advances in Heterocyclic Chemistry, 2007
8.
Thienopyridines: synthesis, properties, and biological activity
Litvinov V.P., Dotsenko V.V., Krivokolysko S.G.
Russian Chemical Bulletin, 2005
9.
The chemistry of heterocycles in the 21st century
Charushin Valery N., Verbitskiy Egor V., Chupakhin Oleg N., Vorobyeva Daria V., Gribanov Pavel S., Osipov Sergey N., Ivanov Andrey V., Martynovskaya Svetlana V., Sagitova Elena F., Dyachenko Vladimir D., Dyachenko Ivan V., Krivokolysko Sergey G., Dotsenko Viktor V., Aksenov Aleksandr V., Aksenov Dmitrii A., et. al.
Russian Chemical Reviews, 2024
10.
Organic Chemistry in Russian Universities. Achievements of Recent Years
Stoikov I.I., Antipin I.S., Burilov V.A., Kurbangalieva A.R., Rostovskii N.V., Pankova A.S., Balova I.A., Remizov Y.O., Pevzner L.M., Petrov M.L., Vasilyev A.V., Averin A.D., Beletskaya I.P., Nenajdenko V.G., Beloglazkina E.K., et. al.
Russian Journal of Organic Chemistry, 2024
11.
Pyridine: the scaffolds with significant clinical diversity
De S., Kumar S K A., Shah S.K., Kazi S., Sarkar N., Banerjee S., Dey S.
RSC Advances, 2022
12.
Exploration of Some Thieno[2,3-b]pyridines, Thieno[3,2-d]pyrimidinones, and Thieno[3,2-d][1,2,3]triazinones as Insecticidal Agents Against Aonidiella aurantii
Bakhite E.A., Gad M.A., Khamies E., Thagfan F.A., Mohamed R.A., Bakry M.M.
Russian Journal of Bioorganic Chemistry, 2025
14.
Pyridine Derivatives as Insecticides─Part 4: Synthesis, Crystal Structure, and Insecticidal Activity of Some New Thienylpyridines, Thienylthieno[2,3-b]pyridines, and Related Heterocyclic Derivatives
Bakhite E.A., Abuelhassan S., Gad M.A., Abdel-Rahman A.E., Ibrahim O.F., Marae I.S., Mohamed S.K., Mague J.T., Nafady A.
Journal of Agricultural and Food Chemistry, 2023
15.
Design, Synthesis, Characterization, and Insecticidal Bioefficacy Screening of Some New Pyridine Derivatives
El-Dean A.M., Abd-Ella A.A., Hassanien R., El-Sayed M.E., A. Abdel-Raheem S.A.
ACS Omega, 2019
17.
S. A. A. Abdel-Raheem, A. M. Kamal El-Dean, M. A. Abdul-Malik, I. S. Marae, E. A. Bakhite, R. Hassanien, M. E. A. El-Sayed, R. M. Zaki, M. S. Tolba, A. S. A. Sayed, A. A. Abd-Ella, Rev. Roum. Chim., 2022, 67, 305
18.
Abdel-Raheem S.A., El-Dean A.M., ul-Malik M.A., Hassanien R., El-Sayed M.E., Abd-Ella A.A., Zawam S.A., Tolba M.S.
Current Chemistry Letters, 2022
19.
Exploration of Some Heterocyclic Compounds Containing Trifluoromethylpyridine Scaffold as Insecticides Toward Aphis gossypii Insects
Bakhite E.A., Gad M.A., Bakry M.M., Tolba E.F., Alkhaibari A.M., Mashlawi A.M., Thabet M.A., Al-Taifi E.A.
Chemistry and Biodiversity, 2024
20.
Synthesis and Properties of 4,6-Dimethyl-5-pentyl-2-thioxo-1,2-dihydropyridine-3-carbonitrile and 3-Amino-4,6-dimethyl-5-pentylthieno[2,3-b]pyridines
Buryi D.S., Dotsenko V.V., Aksenov N.A., Aksenova I.V., Krivokolysko S.G., Dyadyuchenko L.V.
Russian Journal of General Chemistry, 2019
22.
Design, Synthesis, and Screening of Pyridothieno[3,2-b]indole and Pyridothieno[3,2-c]cinnoline Derivatives as Potential Biologically Active Molecules
Stroganova T.A., Vasilin V.K., Kanishcheva E.A., Dmitrieva I.G., Taranenko V.V., Tumskiy R.S., Tumskaia A.V., Aksenov N.A., Krapivin G.D.
Synthesis, 2022
23.
Substituted N-(thieno[2,3-b]pyridine-3-yl)acetamides: synthesis, reactions, and biological activity
Dotsenko V.V., Buryi D.S., Lukina D.Y., Stolyarova A.N., Aksenov N.A., Aksenova I.V., Strelkov V.D., Dyadyuchenko L.V.
Monatshefte fur Chemie, 2019
24.
Synthesis of N-alkylated benzo- and pyridothienopyrrolo-[1,2a][1,4]diazepin-6-ones acting as antidotes against the herbicide 2,4-D
Stroganova T.A., Vasilin V.K., Krapivin G.D., Strelkov V.D., Dyadyuchenko L.V.
Chemistry of Heterocyclic Compounds, 2016
25.
Reaction of 3-Amino-4,6-diarylthieno[2,3-b]pyridine-2-carboxamides with Ninhydrin
Dotsenko V.V., Muraviev V.S., Lukina D.Y., Strelkov V.D., Aksenov N.A., Aksenova I.V., Krapivin G.D., Dyadyuchenko L.V.
Russian Journal of General Chemistry, 2020
26.
Phenothiazines as anti-cancer agents: SAR overview and synthetic strategies
Kumar A., Vigato C., Boschi D., Lolli M.L., Kumar D.
European Journal of Medicinal Chemistry, 2023
27.
Recent Advances in the Medicinal Chemistry of Phenothiazines, New Anticancer and Antiprotozoal Agents
González-González A., Vazquez-Jimenez L.K., Paz-González A.D., Bolognesi M.L., Rivera G.
Current Medicinal Chemistry, 2021
28.
Exploring the therapeutic potential of phenothiazine derivatives in medicinal chemistry
Babalola B.A., Malik M., Sharma L., Olowokere O., Folajimi O.
Results in Chemistry, 2024
31.
Antioxidant Properties of New Phenothiazine Derivatives
Voronova O., Zhuravkov S., Korotkova E., Artamonov A., Plotnikov E.
Antioxidants, 2022
34.
Phenothiazine derivatives containing a NO-generating fragment
Serkov I.V., Proshin A.N., Ustinov A.K., Bachurin S.O.
Russian Chemical Bulletin, 2022
35.
Development of Phenothiazine Hybrids with Potential Medicinal Interest: A Review
Posso M.C., Domingues F.C., Ferreira S., Silvestre S.
Molecules, 2022
36.
Rational Design of Methylene Blue–Raloxifene Conjugates for Efficient Breast Tumor Elimination Triggered by ERα Degradation
Zhang Y., Yu Q., Wang Z., Qing L., Mo X., Liu B., Chai Y., Yu B., Dong Y., Pan W., Zhang S., He H.
Journal of Medicinal Chemistry, 2025
38.
Conjugates of Methylene Blue with Cycloalkaneindoles as New Multifunctional Agents for Potential Treatment of Neurodegenerative Disease
Bachurin S.O., Shevtsova E.F., Makhaeva G.F., Aksinenko A.Y., Grigoriev V.V., Goreva T.V., Epishina T.A., Kovaleva N.V., Boltneva N.P., Lushchekina S.V., Rudakova E.V., Vinogradova D.V., Shevtsov P.N., Pushkareva E.A., Dubova L.G., et. al.
International Journal of Molecular Sciences, 2022
39.
Organic electroluminescent materials and devices emitting in UV and NIR regions
Pushkarev A.P., Bochkarev M.N.
Russian Chemical Reviews, 2016
40.
Synthesis and Structure of Novel Phenothiazine Derivatives, and Compound Prioritization via In Silico Target Search and Screening for Cytotoxic and Cholinesterase Modulatory Activities in Liver Cancer Cells and In Vivo in Zebrafish
Kisla M.M., Yaman M., Zengin-Karadayi F., Korkmaz B., Bayazeid O., Kumar A., Peravali R., Gunes D., Tiryaki R.S., Gelinci E., Cakan-Akdogan G., Ates-Alagoz Z., Konu O.
ACS Omega, 2024
41.
Synthesis and biological activity of new phenothiazine-based heterodimers
Andrianova O.A., Buryi D.S., Gluzmin N.O., Daus E.S., Dotsenko V.V., Kindop V.K., Kindop V.K., Kosenko D.D., Strelkov V.D., Tsymbal T.L., Gordeev K.V., Aksenov N.A., Aksenova I.V.
Russian Chemical Bulletin, 2025
42.
Inhibitory effect of phenothiazine- and phenoxazine-derived chloroacetamides on Leishmania major growth and Trypanosoma brucei trypanothione reductase
Marcu A., Schurigt U., Müller K., Moll H., Krauth-Siegel R.L., Prinz H.
European Journal of Medicinal Chemistry, 2016
43.
Condensed pyridines Communication 3. Arylidenethio(seleno)acetamides in the synthesis of 4-aryl-3-cyano-2[1H]pyridinethiones and 4-aryl-3-cyano-2[1H]pyridineselenones
Litvinov V.P., Promonenkov V.K., Sharanin Y.A., Shestopalov A.M., Rodinovskaya L.A., Mortikov V.Y., Bogdanov V.S.
Russian Chemical Bulletin, 1985
44.
Thermolysis of 3-azido-4-aryl(hetaryl)thieno[2,3-b]pyridines: 2,7-naphthyridines or 1,4-diazepines?
Kanishcheva E.А., Bedareva V.O., Vasilin V.K., Stroganova T.А., Krapivin G.D.
Chemistry of Heterocyclic Compounds, 2019
45.
3-Amino(azido)-4,6-aryl(hetaryl)thieno[2,3-b]pyridines and benzo(furo,thieno)[c]thieno[2,3,4-i,j]-2,7-naphthyridines on their basis: synthesis, spectral properties, and prediction of biological activity
Vasilin V.K., Kanishcheva E.A., Stroganova T.А., Volynkin V.А., Gizhinskaya A.V., Vassiliev P.M., Krapivin G.D.
Chemistry of Heterocyclic Compounds, 2020
47.
Synthesis and transformations of 3-(1H-pyrrol-1-yl)thieno[2,3-b]pyridines
Kaigorodova E.A., Osipova A.A., Konyushkin L.D., Krapivin G.D.
Russian Chemical Bulletin, 2004
49.
P. B. Talukdar, S. K. Sengupta, A. K. Datta, Ind. J. Chem., Sect. B Org. Med. Chem., 1983, 22, 243
54.
Ю. А. Шаранин, А. М. Шестопалов, В. К. Промоненков, Л. А. Родиновская, Журн. орган. химии, 1984, 20, 1539
55.
OLEX2: a complete structure solution, refinement and analysis program
Dolomanov O.V., Bourhis L.J., Gildea R.J., Howard J.A., Puschmann H.
Journal of Applied Crystallography, 2009
56.
SHELXT– Integrated space-group and crystal-structure determination
Sheldrick G.M.
Acta Crystallographica Section A: Foundations and Advances, 2015
57.
Crystal structure refinement withSHELXL
Sheldrick G.M.
Acta crystallographica. Section C, Structural chemistry, 2015