Home / Publications / Синтез 1,3-дизамещенных иодидов и трииодидов 2-амино-1,3-бензимидазолия

Синтез 1,3-дизамещенных иодидов и трииодидов 2-амино-1,3-бензимидазолия

Н. О. Ярош 1
Н. О. Ярош
Л. В. Жилицкая 1 *
Л. В. Жилицкая
И. В. Стерхова 1
И. В. Стерхова
И. А. Дорофеев 1
И. А. Дорофеев
Published 2025-12-10
Share
Cite this
GOST
 | 
Cite this
GOST Copy
Ярош Н. О. et al. Синтез 1,3-дизамещенных иодидов и трииодидов 2-амино-1,3-бензимидазолия // Russian Chemical Bulletin. 2025. Vol. 75. No. 1. pp. 215-224.
GOST all authors (up to 50) Copy
Ярош Н. О., Жилицкая Л. В., Стерхова И. В., Дорофеев И. А. Синтез 1,3-дизамещенных иодидов и трииодидов 2-амино-1,3-бензимидазолия // Russian Chemical Bulletin. 2025. Vol. 75. No. 1. pp. 215-224.
RIS
 | 
Cite this
RIS Copy
TY - JOUR
UR - https://russchembull.colab.ws/publications/47
TI - Синтез 1,3-дизамещенных иодидов и трииодидов 2-амино-1,3-бензимидазолия
T2 - Russian Chemical Bulletin
AU - Ярош, Н. О.
AU - Жилицкая, Л. В.
AU - Стерхова, И. В.
AU - Дорофеев, И. А.
PY - 2025
DA - 2025/12/10
PB - Известия Академии наук. Серия химическая
SP - 215-224
IS - 1
VL - 75
ER -
BibTex
 | 
Cite this
BibTex (up to 50 authors) Copy
@article{2025_Ярош,
author = {Н. О. Ярош and Л. В. Жилицкая and И. В. Стерхова and И. А. Дорофеев},
title = {Синтез 1,3-дизамещенных иодидов и трииодидов 2-амино-1,3-бензимидазолия},
journal = {Russian Chemical Bulletin},
year = {2025},
volume = {75},
publisher = {Известия Академии наук. Серия химическая},
month = {Dec},
url = {https://russchembull.colab.ws/publications/47},
number = {1},
pages = {215--224}
}
MLA
Cite this
MLA Copy
Ярош, Н. О., et al. “Синтез 1,3-дизамещенных иодидов и трииодидов 2-амино-1,3-бензимидазолия.” Russian Chemical Bulletin, vol. 75, no. 1, Dec. 2025, pp. 215-224. https://russchembull.colab.ws/publications/47.

Keywords

(иодметил)кетоны
2-аминобензимидазол
алкилирование
иодиды и трииодиды 2-аминобензимидазолия

Abstract

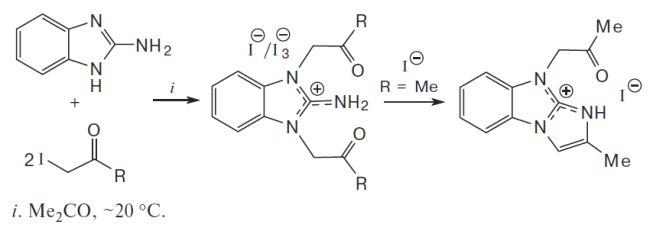
Взаимодействием 2-аминобензимидазола с (иодметил)кетонами, содержащими алифатический, ароматический или гетероароматический заместители, получены новые 1,3-дизамещенные моноиодиды и трииодиды 2-амино-1,3-бензимидазолия в мягких условиях в одну препаративную стадию. Строение синтезированных соединений подтверждено данными спектроскопии ЯМР 1Н и 13С, ИК-, УФ-спектроскопии и рентгеноструктурного анализа.

References

1.
A critical review of benzimidazole: Sky-high objectives towards the lead molecule to predict the future in medicinal chemistry
Banerjee S., Mukherjee S., Nath P., Mukherjee A., Mukherjee S., Ashok Kumar S.K., De S., Banerjee S.
Results in Chemistry, 2023
2.
N-substitution Reactions of 2-Aminobenzimidazoles to Access Pharmacophores
Cruz A., Padilla-Martínez I.I., García-Báez E.V., Rosales-Hernández M.C., Mendieta Wejebe J.E.
Current Organic Synthesis, 2023
4.
Elucidating the crystal structure-dependent Cd2+-uptake property of benzimidazolium ionic liquid immobilized into macroporous polystyrene
Daminova S.S., Kadirova Z.C., Sharipov K.T., Sanaqulov Q.S., Rakhmonova D.S., Miyauchi M., Sugai Y., Czech B., Hojamberdiev M.
Journal of Environmental Chemical Engineering, 2022
6.
Investigation of X-ray crystal structure and in vitro cytotoxicity of two Ga(III) complexes containing pyridine dicarboxylic acid derivatives and 2-aminobenzimidazole
Aliabadi A., Hakimi M., Hosseinabadi F., Motieiyan E., Rodrigues V.H., Ghadermazi M., Marabello D., Abdolmaleki S.
Journal of Molecular Structure, 2021
7.
Discovery of novel amidobenzimidazole derivatives as orally available small molecule modulators of stimulator of interferon genes for cancer immunotherapy
Jeon M.J., Lee H., Jo S., Kang M., Jeong J.H., Jeong S.H., Lee J., Song G.Y., Choo H., Lee S., Kim H.
European Journal of Medicinal Chemistry, 2023
8.
1H-benzimidazole-2-yl hydrazones as tubulin-targeting agents: Synthesis, structural characterization, anthelmintic activity and antiproliferative activity against MCF-7 breast carcinoma cells and molecular docking studies
Anichina K., Argirova M., Tzoneva R., Uzunova V., Mavrova A., Vuchev D., Popova-Daskalova G., Fratev F., Guncheva M., Yancheva D.
Chemico-Biological Interactions, 2021
9.
Discovery and development of 2-aminobenzimidazoles as potent antimalarials
Devine S.M., Challis M.P., Kigotho J.K., Siddiqui G., De Paoli A., MacRaild C.A., Avery V.M., Creek D.J., Norton R.S., Scammells P.J.
European Journal of Medicinal Chemistry, 2021
10.
Hit-to-lead optimization of a 2-aminobenzimidazole series as new candidates for chagas disease
de Oliveira Rezende Júnior C., Martinez P.D., Ferreira R.A., Koovits P.J., Miranda Soares B., Ferreira L.L., Michelan-Duarte S., Chelucci R.C., Andricopulo A.D., Matheeussen A., Van Pelt N., Caljon G., Maes L., Campbell S., Kratz J.M., et. al.
European Journal of Medicinal Chemistry, 2023
11.
Supramolecular assembly of mebendazolium and dihydrogen phosphate ions in a new anthelmintic salt
Gutiérrez E.L., Russo M.G., Narda G.E., Brusau E.V., Ayala A.P., Ellena J.
Acta Crystallographica Section E: Crystallographic Communications, 2025
12.
Mebendazole crystal forms in tablet formulations. An ATR-FTIR/chemometrics approach to polymorph assignment
Calvo N.L., Kaufman T.S., Maggio R.M.
Journal of Pharmaceutical and Biomedical Analysis, 2016
14.
Novel coumarin–benzimidazole derivatives as antioxidants and safer anti-inflammatory agents
15.
New modified 2-aminobenzimidazole nucleosides: Synthesis and evaluation of their activity against herpes simplex virus type 1
Kharitonova M.I., Denisova A.O., Andronova V.L., Kayushin A.L., Konstantinova I.D., Kotovskaya S.K., Galegov G.A., Charushin V.N., Miroshnikov A.I.
Bioorganic and Medicinal Chemistry Letters, 2017
16.
Synthesis of 3,4-dihydropyrimido[1,2-a]benzimidazoles, promising CRF1 receptor antagonists
Vandyshev D.Y., Kovygin Y.A., Khmelevskaya T.N., Sherbakov K.A., Shikhalieva K.D., Smoliannikova M.Y., Shikhaliev K.S.
Russian Chemical Bulletin, 2024
17.
ZIF-7-NH2 functionalized collagen fibers for effective and selective mercury ion capture
Ye X., Zheng Z., Zhu J., Chen J., Zhou J., Shi B.
Separation and Purification Technology, 2025
18.
Synthesis and sorption properties of organosilicon 2-aminobenzimidazole derivatives
Oborina E.N., Nalibaeva A.M., Abdikalykov E.N., Ushakov I.A., Rosenzveig I.B., Adamovich S.N.
Russian Chemical Bulletin, 2023
20.
A library of benzimidazole based amide and urea derivatives as supramolecular gelators – A comparative study
Patel A.M., Bhardwaj V., Ray D., Aswal V.K., Ballabh A.
Journal of Molecular Liquids, 2024
23.
Synthesis of dicationic hetarylmethylimidazolium salts via the reaction of N, N′-diaryl-4-chloromethylimidazolium chlorides with N-heterocycles
24.
Synthesis of Novel Benzothiazolium Ionic Liquids and Research on Their Catalytic Esterification for Ricinoleic Acid
Zhang H., Liu D., Kang T., Wang Y., Zhang X., Zhu X.
Chinese Journal of Organic Chemistry, 2016
27.
Protection of Endogenous Thiols against Methylmercury with Benzimidazole-Based Thione by Unusual Ligand-Exchange Reactions.
Banerjee M., Karri R., Chalana A., Das R., Rai R.K., Rawat K.S., Pathak B., Roy G.
Chemistry - A European Journal, 2017
28.
Anticancer, antimicrobial and antioxidant potential of sterically tuned bis-N-heterocyclic salts
Huda N.U., Islam S., Zia M., William K., Abbas F.I., Umar M.I., Iqbal M.A., Mannan A.
Zeitschrift fur Naturforschung - Section C Journal of Biosciences, 2018
29.
Research Advances on the Bioactivity of 1,2,3-Triazolium Salts
Song J., Lv J., Jin J., Jin Z., Li T., Wu J.
International Journal of Molecular Sciences, 2023
30.
2-Amino- and 2-hydroxymethylbenzimidazolium bromides as protein tyrosine phosphatase 1В (PTP1В) inhibitors and other targets associated with diabetes mellitus
Spasov A.A., Zhukovskaya O.N., Babkov D.A., Brigadirova A.A., Babkova V.A., Morkovnik A.S., Litvinov R.A., Sokolova E.V.
Russian Chemical Bulletin, 2020
31.
Pharmacological Properties of 2-Aminobenzimidazole Halides and Imidazo[1,2-a]Benzimidazole Derivatives
Spasov A.A., Zhukovskaya O.N., Gurova N.A., Naumenko L.V., Eliseeva N.V., Kucheryavenko A.F., Kosolapov V.A., Yakovlev D.S., Muravyeva V.Y., Babkova V.A., Babkov D.A., Lifanova J.V., Morkovnik A.S.
Russian Journal of Bioorganic Chemistry, 2022
32.
1,3-Diethylbenzimidazolium Triodide in Pharmacotherapy of Chronic Compensated Tonsillopharyngitis
Meloyan E.K., Safronenko A.V., Gantsgorn E.V., Hmara L.E., Golubeva A.O., Jabr M.A.
Journal Biomed (BIOMEDICINE), 2021
33.
Б. В. Страдомский, Патент РФ 2237469, 2003, Бюлл. изобрет., 2004, 16
34.
А. М. Симонов, Г. В. Ковалев, В. А. Анисимова, А. А. Спасов, Е. С. Ермилова, В. И. Поротиков, Н. В. Каверина, Б. М. Пятин, С. В. Меринова, Н. И. Авдюнина, Пат. РФ 2068261, Бюлл. изобрет., 1996, 4
35.
Synthesis and Pharmacological Activity of Trifluoromethyl-Containing Imidazo[1,2-A]Benzimidazoles
Zhukovskaya O.N., Spasov A.A., Kuz’menko T.A., Morkovnik A.S., Kucheryavenko A.F., Anisimova V.A., Salaznikova O.A., Gaidukova K.A., Kuznetsova V.A., Babkov D.A., Grechko O.Y., Eliseeva N.V., Rashchenko A.I.
Pharmaceutical Chemistry Journal, 2018
36.
Synthesis and QSAR studies of novel 1-substituted-2-aminobenzimidazoles derivatives
Guida X., Jianhua H., Xiaomin L.
European Journal of Medicinal Chemistry, 2006
37.
Synthesis, in vitro antiplatelet activity and molecular modelling studies of 10-substituted 2-(1-piperazinyl)pyrimido[1,2- a ]benzimidazol-4(10 H )-ones
Di Braccio M., Grossi G., Signorello M.G., Leoncini G., Cichero E., Fossa P., Alfei S., Damonte G.
European Journal of Medicinal Chemistry, 2013
38.
Synthesis and Structure of Sulfur Derivatives from 2-Aminobenzimidazole
Cruz A., Padilla-Martínez I., García-Báez E., Guerrero-Muñoz G.
Molecules, 2014
40.
Heterocyclic compounds. 10. Synthesis of some imidazo[1,2-a]benzimidazoles with potent analgetic activities
Ogura H., Takayanagi H., Yamazaki Y., Yonezawa S., Takagi H., Kobayashi S., Kamioka T., Kamoshita K.
Journal of Medicinal Chemistry, 1972
42.
К. М. Аверин, Ю. Ю. Солодунов, Б. В. Страдомский, Eвр. пат. 013691 B1, 2009, Бюлл. изобрет., 2010, 3
43.
Б. В. Страдомский, Ю. Ю. Солодунов, Экспериментальная и клиническая фармакология мазевых форм Стелланина (1,3-диэтилбензимидазолия трииодида), Изд-во ЮНЦ РАН, Ростов на Дону, 2013, 89 с
44.
И. И. Кательницкий, А. М. Трандофилов, Б. В. Страдомский, Е. О. Лыкова, Флебология, 2009, 1, 30
45.
Л. А. Блатун, Р. П. Терехова, Б. В. Страдомский, Е. О. Лыкова, Ю. Ю. Солодунов, Антибиотики и химиотерапия, 2008, 53, 16
46.
Synthesis of Imidazolium and Benzimidazolium Triiodides
Shagun L.G., Dorofeev I.A., Zhilitskaya L.V., Yarosh N.O., Larina L.I.
Russian Journal of Organic Chemistry, 2019
47.
Iodination of humic acid samples from different origins
Reiller P., Mercier-Bion F., Gimenez N., Barré N., Miserque F.
Radiochimica Acta, 2006
48.
Crystal structure of 1-(carboxymethyl)-2-methyl-1,3-benzimidazol- 3-ium-3-acetate hydrate, [C10H9N2O2][CH3CO2] · H2O
Chen D., Huang L., Jiang H., Lin Y.
Zeitschrift fur Kristallographie - New Crystal Structures, 2009
49.
Novel N-heterocyclic ylideneamine gold(i) complexes: synthesis, characterisation and screening for antitumour and antimalarial activity
Coetzee J., Cronje S., Dobrzańska L., Raubenheimer H.G., Jooné G., Nell M.J., Hoppe H.C.
Dalton Transactions, 2011
51.
Metal Complexes of Cobalt Chloride with Vinyl‐, Allyl‐ and Styrylbenzimidazole Ligands: Synthesis, Structure, and Properties
Sterkhova I.V., Parshina L.N., Grishchenko L.A., Borodina T.N., Belovezhets L.A., Semenov V.A.
ChemistrySelect, 2024
52.
Search for compounds with antioxidant and antiradical activity among N9-substituted 2-(biphenyl-4-yl)imidazo[1,2-a]benzimidazoles
Spasov A.A., Brigadirova A.A., Zhukovskaya O.N., Morkovnik A.S., Lifanova Y.V.
Research Results in Pharmacology, 2022
54.
Synthesis and biological evaluation of 2,3-dihydroimidazo[1,2-a]benzimidazole derivatives against Leishmania donovani and Trypanosoma cruzi.
Oh S., Kim S., Kong S., Yang G., Lee N., Han D., Goo J., Siqueira-Neto J.L., Freitas-Junior L.H., Song R.
European Journal of Medicinal Chemistry, 2014
56.
PASS Online. http://www.pharmaexpert.ru/PASSOnline
58.
THE QUATERNARY SALTS OF HEXAMETHYLENETETRAMINE
Jacobs W.A., Heidelberger M.
Journal of Biological Chemistry, 1915
59.
The Synthesis of α-Azidoesters and Geminal Triazides
Klahn P., Erhardt H., Kotthaus A., Kirsch S.F.
Angewandte Chemie - International Edition, 2014
60.
Л. И. Беленький, А. П. Якубов, Я. Л. Гольдфарб, Журн. орган. химии, 1970, 6, 2518 [L. I. Belenky, A. P. Yakubov, Ya. L. Goldfarb, J. Org. Chem. USSR, 1970, 6, 2518
61.
A short history of SHELX
Sheldrick G.M.
Acta Crystallographica Section A Foundations of Crystallography, 2007