Home / Publications / Новый подход к синтезу изотиоурониевых солей на основе галогенкарбоновых кислот и тиомочевины

Новый подход к синтезу изотиоурониевых солей на основе галогенкарбоновых кислот и тиомочевины

Ю. В. Ю. В. Бахтиярова 1
Ю. В. Ю. В. Бахтиярова
Х. Пак 1
Х. Пак
О. В. Орлова 1
О. В. Орлова
О. К. Поздеев 2
О. К. Поздеев
А. П. Федонин 1, 3
А. П. Федонин
О. Н. Катаева 3
О. Н. Катаева
И. В. Галкина 1
И. В. Галкина
Published 2025-12-10
Share
Cite this
GOST
 | 
Cite this
GOST Copy
Романов С. Р. et al. Новый подход к синтезу изотиоурониевых солей на основе галогенкарбоновых кислот и тиомочевины // Russian Chemical Bulletin. 2025. Vol. 75. No. 1. pp. 176-181.
GOST all authors (up to 50) Copy
Романов С. Р., Ю. В. Бахтиярова Ю. В., Пак Х., Орлова О. В., Шулаева М. П., Поздеев О. К., Федонин А. П., Катаева О. Н., Галкина И. В. Новый подход к синтезу изотиоурониевых солей на основе галогенкарбоновых кислот и тиомочевины // Russian Chemical Bulletin. 2025. Vol. 75. No. 1. pp. 176-181.
RIS
 | 
Cite this
RIS Copy
TY - JOUR
UR - https://russchembull.colab.ws/publications/42
TI - Новый подход к синтезу изотиоурониевых солей на основе галогенкарбоновых кислот и тиомочевины
T2 - Russian Chemical Bulletin
AU - Романов, С. Р.
AU - Ю. В. Бахтиярова, Ю. В.
AU - Пак, Х.
AU - Орлова, О. В.
AU - Шулаева, М. П.
AU - Поздеев, О. К.
AU - Федонин, А. П.
AU - Катаева, О. Н.
AU - Галкина, И. В.
PY - 2025
DA - 2025/12/10
PB - Известия Академии наук. Серия химическая
SP - 176-181
IS - 1
VL - 75
ER -
BibTex
 | 
Cite this
BibTex (up to 50 authors) Copy
@article{2025_Романов,
author = {С. Р. Романов and Ю. В. Ю. В. Бахтиярова and Х. Пак and О. В. Орлова and М. П. Шулаева and О. К. Поздеев and А. П. Федонин and О. Н. Катаева and И. В. Галкина},
title = {Новый подход к синтезу изотиоурониевых солей на основе галогенкарбоновых кислот и тиомочевины},
journal = {Russian Chemical Bulletin},
year = {2025},
volume = {75},
publisher = {Известия Академии наук. Серия химическая},
month = {Dec},
url = {https://russchembull.colab.ws/publications/42},
number = {1},
pages = {176--181}
}
MLA
Cite this
MLA Copy
Романов, С. Р., et al. “Новый подход к синтезу изотиоурониевых солей на основе галогенкарбоновых кислот и тиомочевины.” Russian Chemical Bulletin, vol. 75, no. 1, Dec. 2025, pp. 176-181. https://russchembull.colab.ws/publications/42.

Keywords

антимикробная активность
галогенкарбоновая кислота
изотиоурониевая соль
рентгеноструктурный анализ
тиомочевина

Abstract

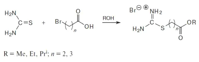
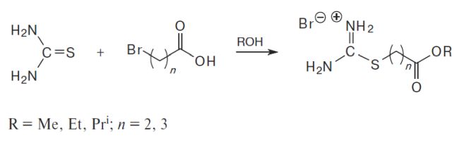
Синтезированы новые изотиоурониевые соли на основе реакций тиомочевины и галогенкарбоновых кислот в спиртовых средах. Строение и состав всех синтезированных соединений доказаны комплексом современных физических методов исследования. Строение изотиоурониевой соли доказано методом рентгеноструктурного анализа. Проведены исследования антимикробной активности in vitro для синтезированных изотиоурониевых солей.

References

1.
Synthesis and Antibacterial Activity of Acetoxybenzoyl Thioureas with Aryl and Amino Acid Side Chains
Ngaini Z., Mohd Arif M.A., Hussain H., Mei E.S., Tang D., Kamaluddin D.H.
Phosphorus, Sulfur and Silicon and the Related Elements, 2011
2.
Anticandidal action of polyurethane foam: a new modifier with functionalized isothiouronium group
El-Zahed M.M., Kiwaan H.A., Farhat A.A., Moawed E.A., El-Sonbati M.A.
Iranian Polymer Journal (English Edition), 2022
3.
Design, Synthesis and Evaluation of Thiourea Derivatives as Antimicrobial and Antiviral Agents
Ravichandran V., Shalini S., Kumar K.S., Rajak H., Agrawal R.K.
Letters in Drug Design and Discovery, 2018
4.
New thiourea and 1,3-thiazolidin-4-one derivatives effective on the HIV-1 virus
Bielenica A., Sanna G., Madeddu S., Struga M., Jóźwiak M., Kozioł A.E., Sawczenko A., Materek I.B., Serra A., Giliberti G.
Chemical Biology and Drug Design, 2017
6.
Allylic isothiouronium salts: The discovery of a novel class of thiourea analogues with antitumor activity.
Ferreira M., Assunção L.S., Silva A.H., Filippin-Monteiro F.B., Creczynski-Pasa T.B., Sá M.M.
European Journal of Medicinal Chemistry, 2017
7.
Pucko Emanuela, Matyja Ewa, Koronkiewicz Mirosława, Ostrowski Robert P, Kazimierczuk Zygmunt
Anticancer Research, 2018
8.
Mononuclear copper(i) complexes of triphenylphosphine and N,N′-disubstituted thioureas as potential DNA binding chemotherapeutics
Khan S.I., Ahmad S., Khan I.A., Badshah A., Rauf M.K., Putejo J.A., Siddiq M.N., Kausar S., Altaf A.A.
New Journal of Chemistry, 2021
10.
Antimicrobial activity of allylic thiocyanates derived from the Morita-Baylis-Hillman reaction
Sá M.M., Ferreira M., Lima E.S., Santos I.D., Orlandi P.P., Fernandes L.
Brazilian Journal of Microbiology, 2014
11.
Introduction of isothiuronium surfactant series: Synthesis, structure-dependent aggregation overview and biological activity
Valeeva F.G., Karimova T.R., Pavlov R.V., Bakhtiyarov D.I., Sapunova A.S., Ivshin K.A., Kataeva O.N., Gaynanova G.A., Syakaev V.V., Voloshina A.D., Galkina I.V., Latypov S.K., Zakharova L.Y.
Journal of Molecular Liquids, 2021
12.
Galkina I.V., Bakhtiyarov D.I., Usupova L.M., Gerasimov A.V., Shulaeva M.P., Pozdeev O.K., Ilyasov A.V., Islamov D.R., Usachev K.S., Bakhtiyarova Y.V., Galkin V.I.
Mendeleev Communications, 2021